一氧化碳的结构式

一氧化碳结构
图片尺寸220x117
一氧化碳
图片尺寸270x154
与cn-互为等电子体且分子中含配位键的分子的结构式,标出配位键
图片尺寸234x256
光诱导一氧化碳释放分子及其制备方法与流程
图片尺寸1000x441
一氧化碳的电子式
图片尺寸247x126
一氧化碳分子式
图片尺寸1100x1100
一氧化碳-13c结构式图片|1641-69-6结构式图片
图片尺寸605x375
一氧化碳的结构式
图片尺寸570x228
铁的冶炼(1)一氧化碳与氧化铁反应原理
图片尺寸512x270
一氧化碳电子式是什么
图片尺寸640x341
这,是co的路易斯结构式,碳氧之间竟然形成了三键,简直不可思议!
图片尺寸640x258
乙酸乙烯酯与一氧化碳和乙烯的聚合物结构式
图片尺寸605x375
像一氧化碳和氮分子这样具有相同电子数(指分子或离子中
图片尺寸411x204
一氧化碳结构式
图片尺寸570x228
据报道, 两种异构体与生物体内酶的作用是不一样的, 其中6号碳原子的
图片尺寸1424x516
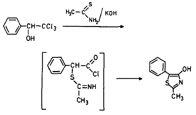
2006, 8 , 5881)所说,形成了一个偕二氯环氧乙烷中间体.
图片尺寸683x400
一氧化碳分子式图片
图片尺寸1022x264
一氧化碳分子结构孤立在黑色上
图片尺寸1200x1028
根据下图所示实验室用一氧化碳还原氧化铁的实验装置.回答以下问题.
图片尺寸340x204
一氧化碳中毒的救治措施
图片尺寸1024x721