七次函数

高中所有函数总结,高效快速提高数学成绩,考试法宝答案
图片尺寸1152x728
展开全部 七,构造函数 利用零点定理证明 过程如下: 向左转 向右转
图片尺寸646x575
七次函数
图片尺寸268x236
七次函数的概念
图片尺寸417x397
【其他部分 第二章 c语言图形和函数图像的绘制】
图片尺寸527x316
求助高数第七
图片尺寸553x343
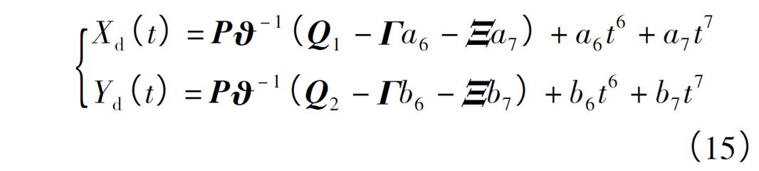
yd) 关于时间t的函数可用七次多项式表示为终止时刻初始时刻基于式(2)
图片尺寸473x269
中任取3件,求取出的3件产品中所含次品数x的分布律,并求出x的分布函数
图片尺寸463x396![[matalb]polyfit多项式拟合函数以及polyval](https://imgs.wantubizhi.com/img/A1A61BAA66193547F3A6DD7D8EE527E919F8EAB1B12F8A42F7DB7F04FC6A168DA7A03E727AEE8DEC6AEEED9B54513AF773D555379FC00C9CCD76A30A1BE103E847571F3E5104F1946A9D770502E47AD1B3FE5FC3A8342288D1AE983AAF5825CA)
[matalb]polyfit多项式拟合函数以及polyval
图片尺寸635x490
高一函数测试题答案
图片尺寸591x698
2.1.4《函数的奇偶性》 课件三 新人教b版必修1ppt
图片尺寸1080x810
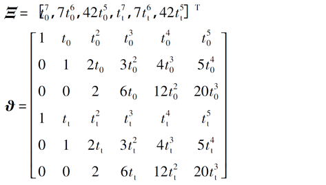
yd) 关于时间t的函数可用七次多项式表示为终止时刻初始时刻基于式(2)
图片尺寸1071x341
的,比如在初中就引入集合和函数的概念(但这些好像在初中教材上也有
图片尺寸505x551
9.4幂级数9.4.4taylor级数,9.4.5常用初等函数的幂级数展开
图片尺寸1077x808
三次函数图像与性质3 ppt
图片尺寸860x645
浙江省温岭市学大培训学校中考数学专题复习 14一次函数答案
图片尺寸606x464
2021版高考数学山东新高考版一轮复习课件24幂函数与函数的简单应用34
图片尺寸860x645
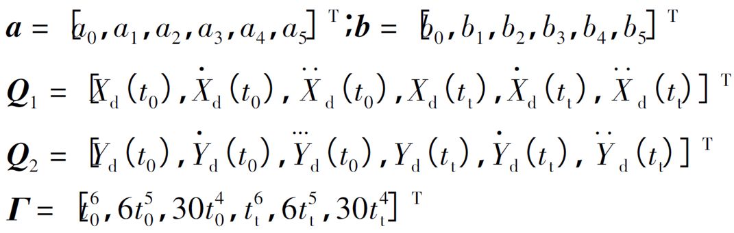
yd) 关于时间t的函数可用七次多项式表示为终止时刻初始时刻基于式(2)
图片尺寸1066x240
二次函数很头疼
图片尺寸640x389
次函数规律总结.ppt
图片尺寸960x720