三年级上册作文100字

小学三年级写事作文100字
图片尺寸920x1191
开心的一天作文三年级作文100字
图片尺寸920x1303
三年级作文叙事可爱的春天100字
图片尺寸920x1302
三年级作文包包子100字
图片尺寸920x1302
三年级作文我的好朋友100字doc
图片尺寸920x1191
三年级作文日记放学后100字
图片尺寸920x1302
三年级作文叙事爱吃早餐100字
图片尺寸920x1302
三年级作文日记飞上天的小蚂蚁100字
图片尺寸920x1302
三年级作文周记美丽的校园100字
图片尺寸920x1302
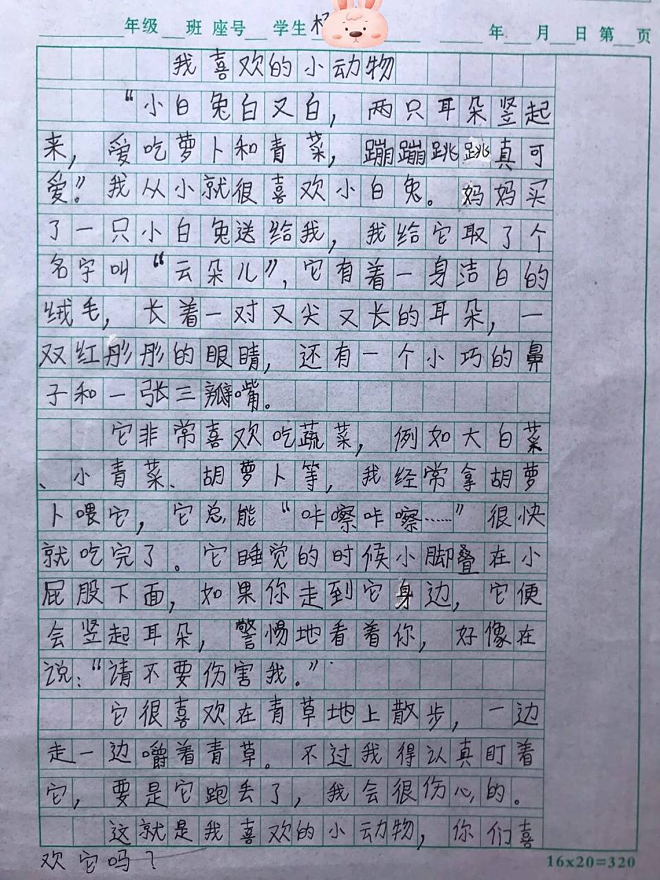
三年级作文《我喜欢的小动物》 写作记录95 小白兔92 题材
图片尺寸960x1280
我的妈妈作文100字三年级
图片尺寸920x1192
三年级童话故事作文100字三篇
图片尺寸920x1302
三年级作文叙事第一次来妈妈学校写作业100字
图片尺寸920x1302
三年级作文叙事蘑菇100字
图片尺寸920x1302
三年级美丽的秋天作文100字
图片尺寸920x1302
100字曰出作文,适合一,二,三年级 100字曰出作文,适合一,二,三年级
图片尺寸960x1280
三年级春节作文100字开心过春节
图片尺寸920x1302
美丽的白云三年级小学生100字作文9692 天空像一条无边无际的蓝
图片尺寸960x1280
三年级作文叙事我是一个胆小的孩子100字
图片尺寸920x1302
拔河比赛作文100字左右三年级doc
图片尺寸920x1191