三次根式

关于三次根式
图片尺寸780x1040![求三次根式方程 power[x 2, (3)^-1] power[x - 18, (3)^-1] =](https://imgs.wantubizhi.com/img/ADDA3C5D760C6828B77B505A29D43E83D5263ECA8557627D1F2712FD3498ABF74912D4E47B2FC0325DCAA1808A3D825A5FA2FB7C6D827E791DC918FB84C453EBEE6F80282DA6C3B18967AF6977D362FE418F145B0AFBA96722A7C0F25331EAAE)
求三次根式方程 power[x 2, (3)^-1] power[x - 18, (3)^-1] =
图片尺寸2304x1440
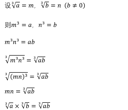
学生作品三次根式可以参与运算吗
图片尺寸534x457
我们用通俗的方法求解三次方程的根式解
图片尺寸640x247
美国数学竞赛题,三次根式化简,大部分同学直接放弃了
图片尺寸1440x900
三次根式怎么求其有理化因式,顺便看下下面这道考研数学题
图片尺寸432x285
我们用通俗的方法求解三次方程的根式解
图片尺寸601x434
北京市竞赛题,解三次根式方程,95%的同学看着就晕,有诀窍吗
图片尺寸1280x720
初二下数学必背点~二次根式化简~含过程 提分必背 图片下载复制到
图片尺寸960x1280
竞赛题,解三次根式方程,学霸说换元法秒了
图片尺寸640x360
学渣哭了,学霸笑了,三次根式方程还是换元法好用
图片尺寸1001x625
二次根式的加减乘除混合运算
图片尺寸676x393
包含三次根式的双层根式构造方程巧妙提取公因式求解
图片尺寸1280x720
3到2次根式数学题. . 我不会啊.有追分
图片尺寸546x333
二次根式难题
图片尺寸920x1302
初中数学竞赛题解根式方程,一个二次根式一个三次根式
图片尺寸3621x2160
次根式的运算基础知识讲解
图片尺寸920x1303
初中数学解根式方程,换元后消元
图片尺寸3456x2160
千年数学难题直接沦为简单推论_阿贝尔_方程_根式
图片尺寸1080x599
初二二次根式,2.3题
图片尺寸1632x920