三阶行列式

2018考研数学线代之三阶行列式计算方法
图片尺寸1512x3024
利用对角线法则计算下列三阶行列式doc
图片尺寸920x1300
3阶行列式如何计算_百度教育
图片尺寸600x507
线性代数三阶行列式的求解方法
图片尺寸682x495
求这道3阶行列式,我算的是-9可答案是0
图片尺寸768x1024
第2讲-第1章第3节ppt 偶是北工商地~~ 复 习 —— 二,三阶行列式 1
图片尺寸1170x810
三阶行列式(三阶行列式相乘计算方法)
图片尺寸2286x1507
线性代数行列式计算
图片尺寸1080x1395
二,三阶行列式 三阶行列式的计算 ——对角线法则 ——沙路法则 a1
图片尺寸1080x810
三阶行列式的计算(求高手)
图片尺寸1920x2560
证明下列三阶行列式
图片尺寸4095x2303
帮忙解一下三阶行列式
图片尺寸3264x2448
线数,三阶行列式,为什么这样算出来的结果不对?
图片尺寸679x530
3阶行列式
图片尺寸564x484
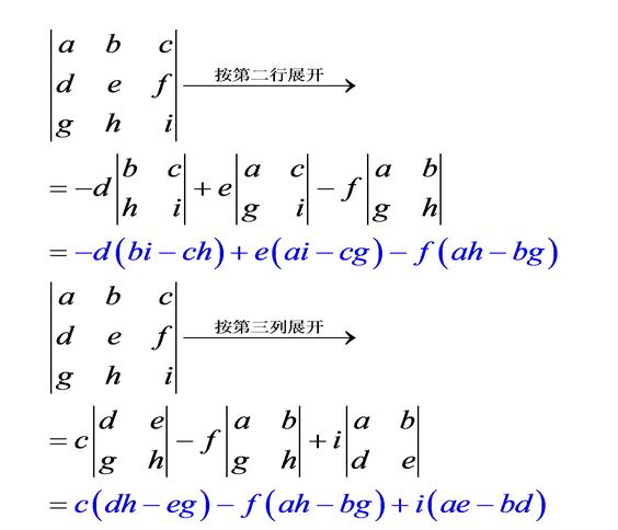
三阶行列式计算技巧三阶行列式计算技巧代数余子式
图片尺寸471x503
展开全部 这是三阶行列式,而且0较多,其实直接用对角线法则展开很
图片尺寸686x384
高二数学三阶行列式
图片尺寸920x1302
利用对角线法则计算下列三阶行列式doc16页
图片尺寸793x1120
称为三阶行列式.
图片尺寸496x702
三阶行列式,求解!速度
图片尺寸2560x1440