上海高考成绩单

2022上海高考成绩单
图片尺寸1080x810
精锐高考624分登顶2020上海高考直通北大是种怎样的体验
图片尺寸400x527
2022 年上海高考查分是一种怎样的体验? - 知乎
图片尺寸2039x1124
上海高考加油
图片尺寸1055x550
【上海高考成绩一览表】#高考分数线 #教育 #金榜题名 #上 - 抖音
图片尺寸1080x1527
上海高考成绩今日18时开启查询,一网通办,随申办也可查分
图片尺寸640x1038
高考成绩证明
图片尺寸2976x2584
2021年上海高考分数线出炉上海近五年高考分数线汇总
图片尺寸635x507
上海高考如何做锦鲤心态篇
图片尺寸1080x810
上海成考 #成人高考 #成考成绩
图片尺寸1080x540
【2023年上海高考分数线公布:本科线405,特招线504】
图片尺寸1809x1280
第二天早上就拿到了成绩单勿喷分数,本人和爸妈都还挺满意了#上海高考
图片尺寸1080x540
上海春季高考成绩分布表
图片尺寸765x2222
所以晚了一天收到只能说正常发挥了非常一般的成绩(上海高考满分660)
图片尺寸1080x540
上海高考成绩今日18时开启查询,一网通办,随申办也可查分
图片尺寸374x639
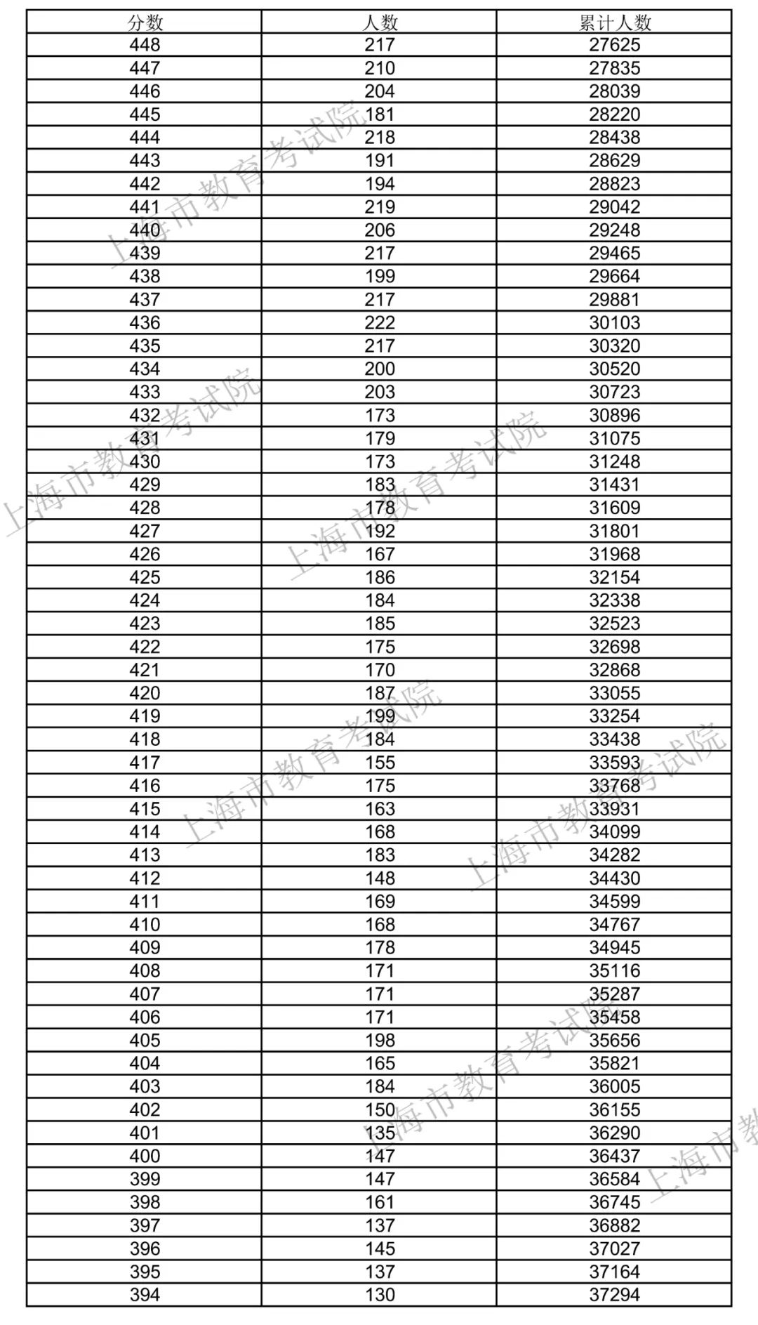
2021上海高考成绩一分一段表
图片尺寸788x1005
上海高考成绩出炉,一本线503分与去年持平,600分以上考生翻倍
图片尺寸640x526
高考成绩公布前半小时你在干什么?
图片尺寸600x450
1,上海高考分数线
图片尺寸640x905
2020年上海考生高考成绩分布表新鲜出炉
图片尺寸1080x1887