丙烷的优势构象图

优势构象 2018-03-18 最佳答案 本回答由提问者推荐 举报| 答案
图片尺寸960x1280
有机化学 化合物反-1-甲基-3-异丙基环己烷的优势构象,为什么是这个?
图片尺寸600x353
顺-1,3-二甲基环己烷的优势构象
图片尺寸210x118
作反-1-甲基-4-异丙基环己烷的 ch(ch3)2 h3c 优势构象(只作环的).
图片尺寸1080x810
1.2.1 链烷烃的构象异构体
图片尺寸695x370
糖类的结构还可以用较稳定的椅型构象表示.
图片尺寸1265x924
丁烷的纽曼投影的优势构象和最稳定构象
图片尺寸450x337
1氯丙烷540545
图片尺寸605x375
反12二甲基环己烷与顺1异丙基4甲基环己烷的优势构象怎么画
图片尺寸1498x1498
大学有机化学精品课件(第三章8)ppt
图片尺寸1080x810
判断环己烷的优势构象
图片尺寸500x500
2.1 烷烃的构象【含答案】
图片尺寸405x311
共10分) 1,新戊醇 2,e-2-丁烯醛 3,1-溴丙烷的优势构象(纽曼投影式) 4
图片尺寸1080x810
a: i b: ii c: iii d: iv 答案: 【 iv】 3,填空题: 环己烷的优势构象
图片尺寸508x124
重难点小结:构象
图片尺寸544x601
355599
图片尺寸300x300
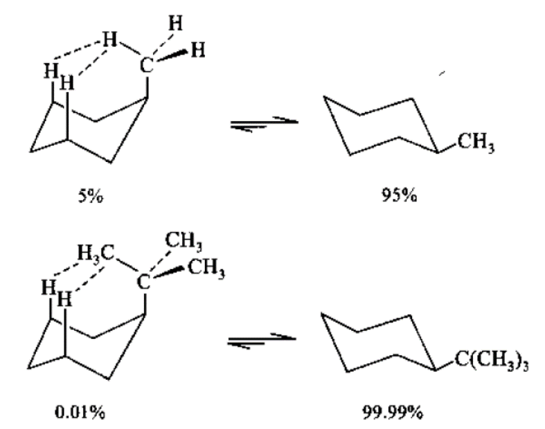
取代基在平伏位上的是具有优势的而处在直立位置上的,会和图上所示的h
图片尺寸825x324
片_百度百科
图片尺寸300x129
填空题下列化合物的系统命名法是()参考答案:3-氯-1-苯基丙烷7.
图片尺寸520x281
十氢化萘构象视频链接不是所有都需要了解,有兴趣可以看一下.
图片尺寸787x620