中握ed套件

出于对jdm的热爱,alan选择安装一套完整的rocket bunny套件,该套件用
图片尺寸1080x720
干细胞为ed患者提供另一种选择_阴茎_治疗_疾病
图片尺寸1010x599
世界著名的pcp丽诗二代(leshiy 2)新款:edgun leshiy 2 repr_网易订阅
图片尺寸660x324
男性必看:出现ed寻求"偏方"不可取!科学治疗才是最佳方法
图片尺寸660x410
男性必看:出现ed寻求"偏方"不可取!科学治疗才是最佳方法
图片尺寸660x410
05安装方式
图片尺寸1440x1080
引擎旋转90度,这台nsx ta专业赛车超越mugen|专业赛
图片尺寸1080x720
05安装方式
图片尺寸1440x1080
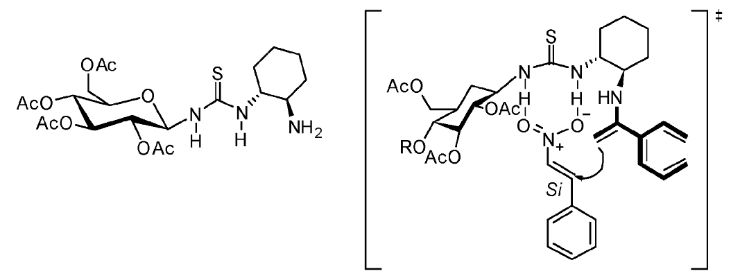
常见有机小分子催化剂手性硫脲催化剂
图片尺寸1054x401
「这饭是做不了一点」最新science研究:仅烹饪25min
图片尺寸1080x766
引擎旋转90度,这台nsx ta专业赛车超越mugen|专业赛
图片尺寸1080x720
创造出专业级的肖像作品,8组11片的光学结构,包括三片ed(低色散)镜片
图片尺寸600x401
着急走出非洲的传音,难逃印度困境?
图片尺寸660x660
男性必看:出现ed寻求"偏方"不可取!科学治疗才是最佳方法
图片尺寸660x409
bwed2718841行星摆线减速器bwed271884111
图片尺寸2404x2466
引擎旋转90度,这台nsx ta专业赛车超越mugen|专业赛
图片尺寸1080x720
「这饭是做不了一点」最新science研究:仅烹饪25min
图片尺寸1080x548
定格街头故事:富士定焦镜头在纪实摄影中的卓越表现
图片尺寸600x338
出于对jdm的热爱,alan选择安装一套完整的rocket bunny套件,该套件用
图片尺寸1080x720
定格街头故事:富士定焦镜头在纪实摄影中的卓越表现
图片尺寸600x359