二项式公式

二项式定理(通项公式).doc
图片尺寸993x1404
【选修2-3】高中数学必备知识点:1.4二项式定理
图片尺寸640x853
3.1二项式定理(一)ppt
图片尺寸1080x810
二项式定理通项公式
图片尺寸920x1303
高中数学二项式定理#抖音图文来了 - 抖音
图片尺寸1080x1439
二项式定理(通项公式)-二项定理通项公式.pdf
图片尺寸1137x1606
二项式定理通项公式二项定理通项公式doc
图片尺寸920x1302
二项式定理_二项式定理的公式,证明及应用方法-数学定理大全
图片尺寸577x602
3二项式定理
图片尺寸1080x810
二项式定理通项公式
图片尺寸920x1303
二项式定理通项公式
图片尺寸920x1302
二项式通项公式n和r是什么
图片尺寸1024x576
二项式定理通项公式
图片尺寸920x1303
二项式定理学会多得5分60超全总结版
图片尺寸1080x1439
1,二项展开式的性质,项数:n 1项,第k 1项的二项式系数是c,在二项展开
图片尺寸640x341
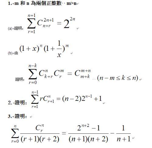
二项式定理 (其他数学相关)
图片尺寸500x489
二项式定理相关的公式共5页
图片尺寸920x1307
人教b版高中数学(选修2-3)1-3《二项式定理》ppt课件
图片尺寸1080x810
二项式定理
图片尺寸978x634
二项式系数和公式及系数和公式
图片尺寸693x742