二项式展开

二项式展开式
图片尺寸1080x810
1,二项展开式的性质,项数:n 1项,第k 1项的二项式系数是c,在二项展开
图片尺寸640x341
二项式展开式
图片尺寸558x244
二项式展开式
图片尺寸1032x581
高考热门考点二项式定理展开式系数的最值
图片尺寸1080x1080
展开全部 最快最好的方法是二项式展开.
图片尺寸1890x1134
下列二项式展开式正确吗?
图片尺寸412x203
高二数学二项式展开式的性质2ppt
图片尺寸1080x810
二项式(x 1/2x)6次方展开式的常数项是
图片尺寸780x1040
会用计数原理证明二项式定理,并会用二项式定理解决与二项展开式有关
图片尺寸893x327
为什么二项式展开式展开后第一个数字怎么算?
图片尺寸3024x4032
13271kj_人教a版高中数学选修2-3 1.3.1二项式定理(一)ppt
图片尺寸1080x810
如图,二项式定理展开式这步变形是怎么过来的画圈部分,求详细解答
图片尺寸2448x3264
在二项式(1 x)^n(n>1,n∈n)的展开式中,_百度知道
图片尺寸459x169
高考数学分项版解析 专题11 排列组合,二项式定理 理
图片尺寸893x495
二项式展开式
图片尺寸342x239
二项展开式系数与二项式系数ppt
图片尺寸1080x810
(3)二项式系数:各奇数项的
图片尺寸362x106
二项展开式系数的性质
图片尺寸1080x810
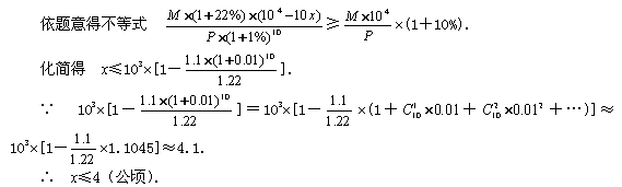
评析 二项式定理的应用十分广泛,主要有以下四个方面:求展开式的
图片尺寸569x171