交叉相乘

交叉相乘有没有学啊? 以第一题为例
图片尺寸490x408
交叉相乘法
图片尺寸580x381
数学中十字交叉相乘怎么算
图片尺寸313x259
p>交叉相乘,是一种 a href="#" data-lemmaid="107037">数学 /a>计算
图片尺寸540x356
2023中考数学因式分解法法宝之一十字相乘法,对一元二次方程 - 抖音
图片尺寸843x544
交叉相乘词条图册_百度百科
图片尺寸759x597
什么是交叉相乘?举个例子,是图哦
图片尺寸612x815
交叉相乘,要步骤
图片尺寸747x1328
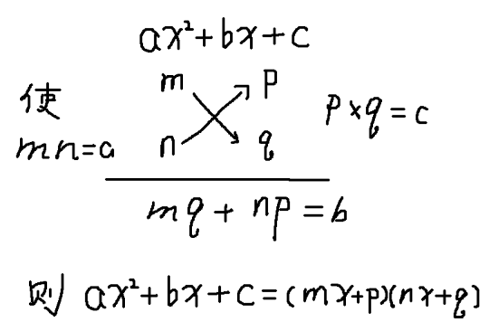
十字交叉法的相乘法
图片尺寸600x292
用十字交叉相乘法对多项式因式分解(二)
图片尺寸1280x720
初中数学:如何判断ax^2 bx c能用十字相乘法因式分解?
图片尺寸640x395
4 3× = × 6 为什么交叉相乘的积相等?
图片尺寸1080x810
2223十字相乘法解一元二次方程pptppt
图片尺寸860x645
p>交叉相乘,是一种 a href="#" data-lemmaid="107037">数学 /a>计算
图片尺寸642x400
初中教育 数学 2014版《第4章因式分解》复习答案ppt ⑶十字相乘法
图片尺寸1080x810
学习方法丨小学数学中十字交叉法的巧妙运用
图片尺寸243x309
十字交叉相乘法是什么?
图片尺寸1200x1600
交叉相乘的分解方法
图片尺寸371x263
分式的交叉相乘法,左边分母x右边分子=右边分母x左边分子
图片尺寸1280x960
交叉相乘
图片尺寸268x211