仲丁基构造式

仲丁基
图片尺寸603x370
ch 3 异丙基(i-pr) ch3chch2 ch3 异丁基 (i-bu) ch3ch2ch ch3 仲丁基
图片尺寸1080x810
仲丁基醚结构式
图片尺寸605x375
2-仲丁基-对甲酚
图片尺寸400x400
4-仲丁基苯酚
图片尺寸283x227
为什么叔丁基叫叔丁基
图片尺寸500x286
仲丁基锂 | cas598-30-1
图片尺寸406x213
丁基 -ch2-ch-ch3 异丁基 ch3 ch3 -ch-ch2-ch3 仲丁基 -c-ch3 叔丁基
图片尺寸1080x810
丁基的4个结构简式
图片尺寸562x278
仲丁基溴化镁
图片尺寸400x400
2-甲基—6-丙基-4-仲丁基辛烷的构造式怎么写?
图片尺寸1040x780
化学元素手册·锂·(93)仲丁基锂
图片尺寸626x336
丁基有四种:正丁基,仲丁基,异丁基,叔丁基.貌似没有季丁醇.
图片尺寸600x375
仲丁醚
图片尺寸605x375
展开全部 丁醇有4种结构:正丁醇,异丁醇,仲丁醇和叔丁醇.
图片尺寸268x268
32 别 名: 三仲丁基醇(氧)铝
图片尺寸222x177
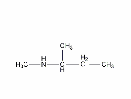
甲基仲丁基胺
图片尺寸527x401
仲丁醇结构式
图片尺寸250x250
构造式
图片尺寸401x203
化学构造式
图片尺寸970x492