伽马函数

优化算法笔记九杜鹃搜索算法
图片尺寸600x480
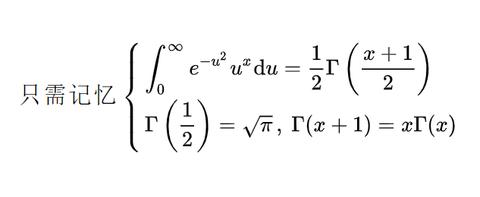
考研数学|伽马函数基础 记住函数形式与性质能做题即可 图二给了三个
图片尺寸1280x1280
数学经典:伽玛函数的原理及发现
图片尺寸640x252
用伽马函数表示下列积分:两道题,1,3 如图.拜托拜托!明早要交
图片尺寸2872x1833
这些公式对于考研的同学很有运用性#德莫佛公式 #伽马函数常用公式
图片尺寸1080x540
伽马函数69(gamma函数,γ函数)
图片尺寸1338x1146
考研数学140分学长复习经验:一图教你快速掌握伽玛函数
图片尺寸640x694
特殊函数入门指南伽马函数一
图片尺寸3000x2852
伽马函数表
图片尺寸642x945
正版包邮 神奇的伽马函数 靳志辉 数学文化小丛书 李大潜 高等教育
图片尺寸790x790
5.5伽马函数ppt
图片尺寸1080x810
数学经典:伽玛函数的原理及发现
图片尺寸632x423
对gamma函数的理解与证明
图片尺寸640x444
千万不能错过的伽马函数,让你的积分速度翻倍!
图片尺寸3023x1889
伽马函数常用公式
图片尺寸555x354
计算机
图片尺寸633x260
这个伽马函数的极限怎么计算得1?
图片尺寸997x534
伽马分布里的参数β决定什么
图片尺寸1619x1080
伽马函数(1)的值是?
图片尺寸558x195
擅长:理工学科 参与团队:数学之美 展开全部 需要运用到多重伽玛函数
图片尺寸3100x3475