佩亚诺

专栏希尔伯特第十问题史话二
图片尺寸300x357
a—8(5)函数展开幂级数ppt
图片尺寸1080x810
常见的佩亚诺余项泰勒公式.png
图片尺寸721x273
高数问题,关于皮亚诺余形的泰勒公式
图片尺寸551x444
公理化随着佩亚诺关于自然数公理体系和帕施关于射影几何公理体系的
图片尺寸392x396
考研数学公式怎么记佩亚诺泰勒公式篇
图片尺寸1080x1439
image
图片尺寸864x428
带有佩亚诺型余项的泰勒公式的推导与证明 向左转 向右转
图片尺寸646x917
拉格朗日余项,麦克劳林展开佩亚诺余项泰勒公式以及应用洛必达法则中
图片尺寸2369x1550
高等数学 微积分 泰勒皮亚诺型余项 这里红色x趋于x0是什么意思?
图片尺寸1024x768
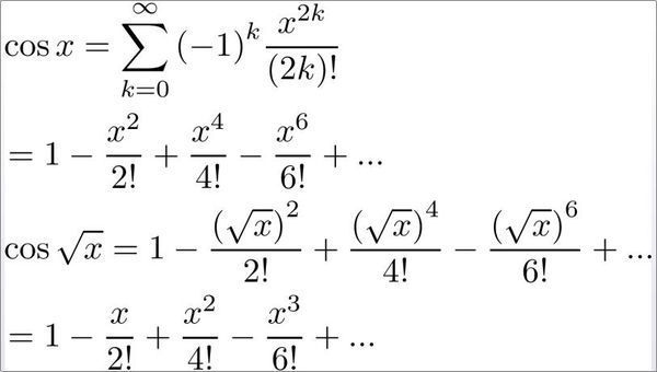
泰勒公式 佩亚诺余项
图片尺寸483x221
22专升本的宝子们这类证明题会了吗
图片尺寸1080x1106
高数题,请问图中问号处的函数是怎么展开成带有佩亚诺型余项的
图片尺寸600x340
泰勒公式的余项
图片尺寸920x690
pokemon说的是宝可梦的微博_微博
图片尺寸640x360
第三章练习
图片尺寸1080x1439
(√(1 x))*cosx 的皮亚诺余项的三阶麦克劳林公式
图片尺寸600x365
030502 佩亚诺余项
图片尺寸448x252
pokemon说的是宝可梦的微博_微博
图片尺寸639x360
pokemon说的是宝可梦的微博_微博
图片尺寸639x360