偏差

标准相对偏差
图片尺寸954x556
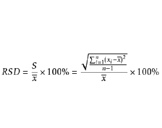
相对标准偏差
图片尺寸395x302
基本偏差系列
图片尺寸1080x893
误差及分析数据的统计处理ppt analytical chemistry 分析化学 偏差
图片尺寸1080x810
很值得看偏差一书我的读书笔记2
图片尺寸1080x1440
一套标准偏差图在黑板上
图片尺寸1200x854
尺寸偏差.ppt
图片尺寸1152x864
投资应避免三常见认知偏差
图片尺寸800x629
【正版书】~~偏差行为
图片尺寸800x1107
1,偏差的计算公式
图片尺寸640x334
标准偏差图在黑色黑板上
图片尺寸1200x854
标准相对偏差
图片尺寸521x411
生灭过程假设和股价相对偏差分析_以深成指成分股为例
图片尺寸432x322
图1 偏差,方差的区别
图片尺寸1236x994
标准偏差 出自mba智库百科(http://wiki.mbalib.
图片尺寸496x702
标准偏差与相对标准偏差公式
图片尺寸920x1302
投资中常见的行为偏差
图片尺寸474x278
偏差方差
图片尺寸5039x3779
《上偏差》解释/拼音/读音/英文/繁体
图片尺寸566x318
平方偏差
图片尺寸515x400