凑微分

积分怎么凑微分
图片尺寸1578x1394
高数不定积分常见的凑微分公式
图片尺寸920x1302
高数【凑微分】 三角常用公式大全.凑微分方法 高数常用公式# - 抖音
图片尺寸1530x1920
凑微分典型题
图片尺寸786x532
第一类换元公式凑微分法
图片尺寸920x690
不定积分凑微分法⑩78
图片尺寸1080x636
用凑微分法求16.17小题
图片尺寸1080x1920
不定积分凑微分法⑧78
图片尺寸1080x539
不定积分凑微分法⑦78
图片尺寸1080x884
凑微分公式高等数学–求积分的一些方法iv凑微分法
图片尺寸544x554
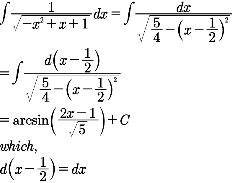
用凑微分法不定积分,怎么做啊
图片尺寸1600x900
2019考研高数知识点第一换元积分法凑微分法
图片尺寸426x639
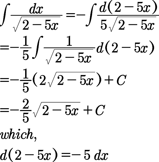
用凑微分法求定积分,求大神解决,急急急!
图片尺寸1346x1093
凑微分常用公式_凑微分法技巧19个公式「建议收藏」 - 思创斯聊编程
图片尺寸786x620
展开全部 凑微分,参考解法: 向左转 向右转
图片尺寸565x774
【求助一道不定积分问题(需要写出用凑微分法解题的过程)】
图片尺寸306x348
高等数学第一类换元法(凑微分法)ppt
图片尺寸1080x810
展开全部 凑微分,参考解法如下: 向左转 向右转
图片尺寸676x617
凑微分的,第二个什么意思,详细点
图片尺寸1080x1920
一,凑微分法
图片尺寸1080x810