分式函数

71分式方程和反比例函数
图片尺寸1440x888
【高一】||专题:一次分式函数专项讲义 习题巩固
图片尺寸1080x1535
分式函数
图片尺寸426x373
分式函数的分式函数的分类
图片尺寸450x278
三角函数不定积分计算典型题2含分式
图片尺寸664x768
分式函数图象最新整理
图片尺寸920x1301
求二次的分式函数最小值
图片尺寸609x449
一次分式型,"耐克"函数
图片尺寸637x607
二次分式函数图像
图片尺寸500x552
一次型分式函数
图片尺寸1080x884
可分部分式求函数的值域
图片尺寸358x284
3二 次 根 式高中阶段,我们在学习函数,解析几何,数列等内容时,会涉及
图片尺寸1134x1036
2019初中数学常用公式之分式的运算
图片尺寸617x307
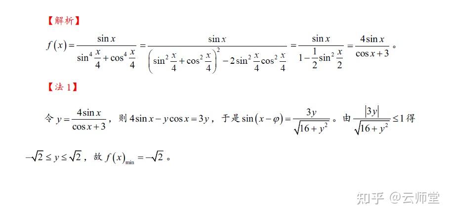
第二百四十三夜分式三角函数的最值
图片尺寸913x437
11常用函数(二次函数,分式函数,幂函数)-学生版
图片尺寸974x338
分式复习课件答案ppt
图片尺寸1080x810
一次函数 二次函数 分式函数 无理函数 指数函数 对数函数 三角函数
图片尺寸760x506
函数对称性常见公式与分式指数函数有关的对称性问题
图片尺寸1080x272
这道分式函数图像怎么画,并把值域表示出来,谢谢各位
图片尺寸1000x563
1.2_分式的基本性质ppt
图片尺寸1080x810