切变

材料力学切变模量
图片尺寸920x1302
水平风的垂直切变是的指在垂直方向上,一定距离内
图片尺寸540x337
知乎
图片尺寸629x691
风切变,简单的说就是风的速度或方向突然发生剧烈
图片尺寸360x586
切切变椰蓉花形面包
图片尺寸400x644
知乎
图片尺寸775x382
风切变:飞行员看不见的敌人?
图片尺寸1080x720
【重磅】高塔架风电机组技术调研报告出炉
图片尺寸859x547
1 低空风切变ppt
图片尺寸1080x810
民航飞行的隐形杀手风切变
图片尺寸732x340
夏季雷雨复训ppt
图片尺寸1080x810
b站卫星终于成功上天发射屡次被鸽b站却损失不大
图片尺寸480x258
演示文稿1ppt
图片尺寸1080x810
直升机飞行员必读如何应对低空风切变
图片尺寸600x317
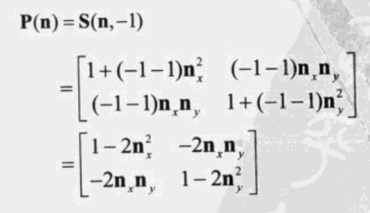
3d数学之镜像切变
图片尺寸532x307
航空器驾驶员指南低空风切变指南
图片尺寸349x185
高原横切变线上的波动及其与低涡的可能联系
图片尺寸700x584![[3dmath]切变](https://imgs.wantubizhi.com/img/735A5D1F980B52A636CC46F12F2D1A734166AD16E80BADB29E6FDDF8781A077FE29FCA42F1CE6645FCF34DC09EF94D6B3A29B9333F41B1574A7B1E873CFF384A5EE3A15DE78C09AFDBD35DD0CDC8D68BD47A825C90632918AB0E311696B7C37C)
[3dmath]切变
图片尺寸439x446
ch17低空风切变解析ppt
图片尺寸800x600
p>风切变指数表示风速在垂直于风向平面内的变化
图片尺寸2000x2000