初二分式化简题100道

分式化简取值解方程1
图片尺寸920x1302
分式的化简求值计算题
图片尺寸920x1303
分式方程化简求值试题
图片尺寸920x1302
分式化简计算题50题二
图片尺寸920x1302
分式化简求值练习题库经典精心整理doc8页
图片尺寸792x1120
八年级下册分式化简求值练习50题精选
图片尺寸920x1302
分式化简
图片尺寸918x1632
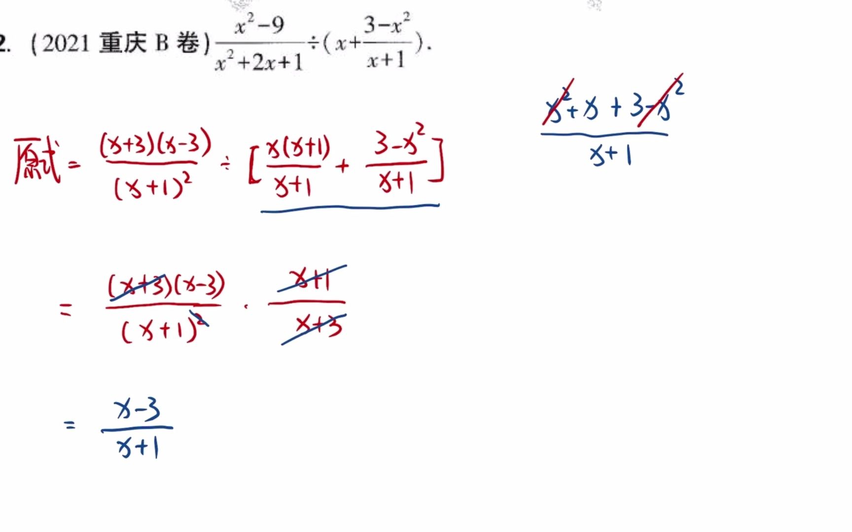
分式【中考真题】 (9)先化简,再求值
图片尺寸1728x1080
初二数学分式的化简求值
图片尺寸2448x3264
完整word人教版初中八年级数学上册分式的化简练习题25.docx 51页
图片尺寸860x1218
分式的化简求值 练习题(右划空白页)
图片尺寸1920x2560
分式化简求值问题是中考命题的热点,该题型属于中低等难度试题
图片尺寸1080x2621
初二数学,分式化简,通分约分是关键步骤 观察分母的规律和共性,分子和
图片尺寸960x1280
100道分式计算题
图片尺寸920x1302
完整word人教版初中八年级数学上册分式的化简练习题25.docx 51页
图片尺寸860x1218
分式【中考真题】 (13)先化简,再求值
图片尺寸1728x1080
分式的化简及分式方程练习题
图片尺寸920x1302
完整word人教版初中八年级数学上册分式的化简练习题25.docx 51页
图片尺寸860x1218
2分式的化简求值同步习题
图片尺寸920x1302
中考复习分式化简求值练习题doc
图片尺寸860x1216