加百利号角悖论

数理化科普加百利号角悖论是什么为什么有限的体积能够对应无穷大的表
图片尺寸862x672
加百利号角悖论是什么为什么有限的体积能够对应无穷大的表面积
图片尺寸1728x1080
烦心的工作和学习通通等节后再处理大天使加百列在天空中吹响号角
图片尺寸900x1200
加百利号角悖论是什么为什么有限的体积能够对应无穷大的表面积
图片尺寸426x534
数理化科普加百利号角悖论是什么为什么有限的体积能够对应无穷大的表
图片尺寸862x654
天呐末日号角的加百列好美啊757575
图片尺寸1080x1441
有天醒来,嘘……是加百列和路西法,谁是神之右翼,谁能吹响末日号角
图片尺寸1080x1439
欧月加百列大天使他吹响末日审判的号角
图片尺寸1080x1442
16个非常烧脑的悖论真的要疯了
图片尺寸500x250
吹响第二支末日号角血海加百列继续演绎ein的文艺复兴神迹美学
图片尺寸1080x1486
gabriel x 加百列:天堂身份最显赫高贵的炽天使 末日审判的号角已经
图片尺寸3343x2090
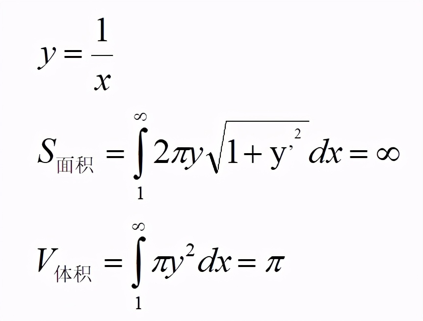
1/x绕x轴旋转一周所形成的体积是有限的,但表面积却是无穷大的
图片尺寸640x430
有关托里拆利小号的问题关于体积有限表面积无限的问
图片尺寸1703x960
吹响第二支末日号角血海加百列继续演绎ein的文艺复兴神迹美学
图片尺寸1080x608
torricelli)命名的,也称为加百利的号角(gabriels horn)
图片尺寸640x265
"审判"的牌面上是大天使加百利,他吹响的就是审判的号角,而下方的人被
图片尺寸1280x720
希尔伯特旅馆悖论托里拆利小号悖论芝诺悖论
图片尺寸600x618
加百利号角
图片尺寸480x143
为什么托里拆利小号的体积等于一个常数π
图片尺寸640x753
阿基里斯带着托里拆利小号追着芝诺的乌龟赶往希尔伯特的旅馆
图片尺寸531x361