卡方

卡方分布表
图片尺寸692x932
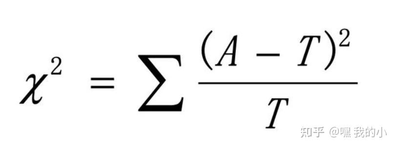
x2卡方分布
图片尺寸813x304
卡方图
图片尺寸769x384
spss 18 卡方检验操作
图片尺寸497x225
方差分析,t检验,卡方检验如何区分?#论文发表 #spss数 - 抖音
图片尺寸1245x1660
卡方
图片尺寸754x565
或多个构成比比价的卡方检验分类资料的相关分析卡方检验的基本原理h0
图片尺寸3327x2121
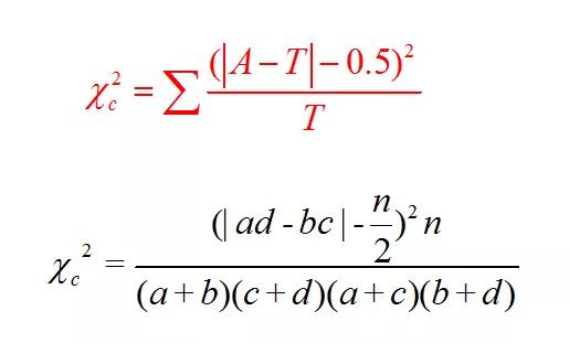
应该用卡方校正卡方还是fisher
图片尺寸515x311
75757575是谁不会做配对卡方? 17 - 抖音
图片尺寸1280x1707
卡方检验临界值表
图片尺寸920x1303
「卡方分布」是什么?
图片尺寸720x374
干货|如何快速进行卡方检验和自查错误 - 知乎
图片尺寸703x407
什么是卡方检验
图片尺寸1351x913
统计软件配对卡方检验教程.doc
图片尺寸993x1404
卡方分配chi-squareppt
图片尺寸1080x810
python数据科学卡方检验
图片尺寸623x403
一般四格表的卡方检验
图片尺寸658x877
卡方检验
图片尺寸809x344
线性相关系数卡方检验互信息
图片尺寸431x300
生物统计学卡方检验ppt
图片尺寸920x690