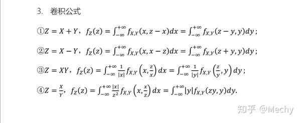
卷积公式

卷积公式
图片尺寸640x573
卷积
图片尺寸577x865
proof卷积公式推导及应用
图片尺寸720x294
卷积公式
图片尺寸1080x810
考研数学中利用推广的卷积公式三分钟快速解决
图片尺寸640x453
卷积-转置卷积,空洞卷积,深度可分离卷积,分组卷积,可变形卷积
图片尺寸959x629
信号与系统公式大全(傅里叶变换,拉普拉斯变换,z变换,卷积.
图片尺寸895x577
方浩卷积公式 - 知乎
图片尺寸1668x2388
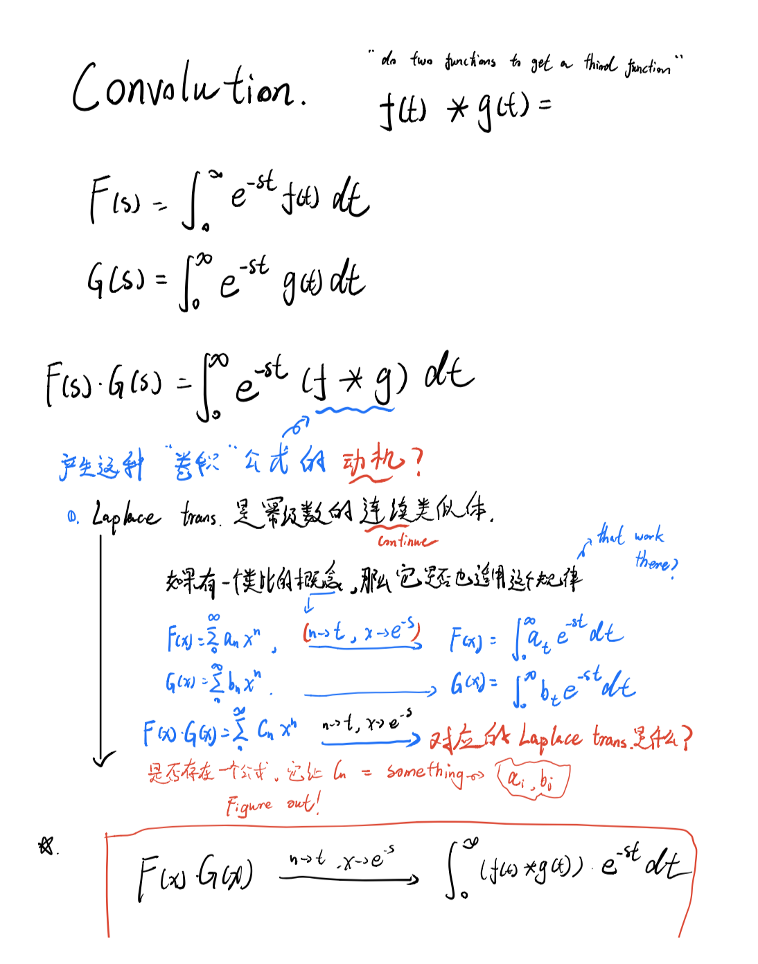
03_ode _20:卷积公式
图片尺寸1094x1392
卷积定理及常见傅里叶变换表
图片尺寸591x782
信号与系统——卷积特性(卷积定理)
图片尺寸657x570
常用的卷积重要公式
图片尺寸1014x691
卷积公式求概率密度函数,卷积公式什么时候用_百科大全
图片尺寸498x266
卷积公式 - 百度文库
图片尺寸503x672
5.卷积积分
图片尺寸1619x1033
卷积神经网络cnn
图片尺寸722x443
5.卷积积分
图片尺寸1443x1008
s&sch3-4卷积积分的计算与性质ppt
图片尺寸1080x810
卷积定理及常见傅里叶变换表
图片尺寸569x740
概率论 卷积公式那章 的一道题 画圈的地方我算出来是负四分之z qaq
图片尺寸996x736