叉乘图解

向量叉乘(crss prduct) 定义: 设 a , b 的夹角为 , 方向 : c a , c b
图片尺寸500x375
俩个三维向量叉乘怎么算
图片尺寸500x402
关于向量的叉乘右手定则判方向
图片尺寸538x326
向量叉乘
图片尺寸1088x1292
向量点乘和叉乘.#关注我每天坚持分享知识 #高考数学解题技巧 - 抖音
图片尺寸1440x1859
物理 矢量叉乘
图片尺寸1080x810
两个向量叉乘怎么算
图片尺寸570x228
高等数学课件d7_3点积叉积ppt
图片尺寸1080x810
叉乘 两矢量叉乘的结果是矢量 大小 方向 垂直于两矢量决定的平面
图片尺寸1080x810
向量的叉乘与点乘
图片尺寸1080x810
矢量运算基础ppt
图片尺寸1170x810
基础数学_01_向量2(点乘/叉乘)
图片尺寸262x266
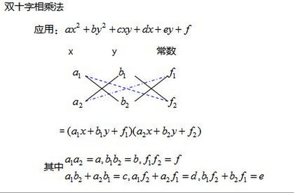
十字交叉相乘法 最好有图
图片尺寸458x285
交叉相乘法
图片尺寸580x381
十字相乘法:左边相乘等于二次项系数,右边相乘等于常
图片尺寸424x289
求平面的法向量:叉乘法
图片尺寸830x518
3d数学点乘叉乘之美
图片尺寸968x888
2014版《第4章因式分解》复习答案ppt
图片尺寸1080x810
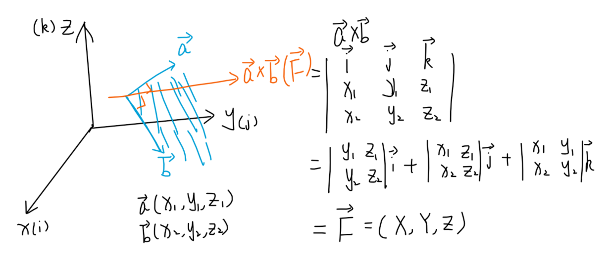
向量叉乘
图片尺寸1238x516
三维坐标系中平面的法线向量采用向量叉乘法则,方向根据右手定则来
图片尺寸659x394