双代号网络图关键线路

双代号网络图 要求工期(220天)不等于计算工期(210天)时,最迟完工时间
图片尺寸1044x386
双代号时标网络图
图片尺寸1080x810
双代号网络图参数计算ppt
图片尺寸1080x810
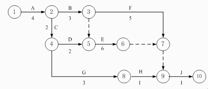
下图双代号网络计划的关键路径时间为53天
图片尺寸422x181
斑马双代号网络图,施工组织设计,毕业设计.#上热门97 代做 - 抖音
图片尺寸1080x1440
双代号网络图绘制
图片尺寸920x690
求绘制双代号网络图
图片尺寸600x373
双代号时标网络图时间参数计算
图片尺寸1920x1080
双代号网络工作图
图片尺寸472x488
双代号网络图
图片尺寸1080x682
绘制双代号网络图,计算六大时间参数,找出关键路线,急急急,在线等
图片尺寸941x730
双代号关键线路06.jpg
图片尺寸776x389
双代号网络图的绘制方法
图片尺寸1979x1270
双代号网络图是什么这款网络图软件帮你轻松画
图片尺寸836x589
绘制双代号网络图
图片尺寸1600x904
已知某分部工程双代号网络图如图所示,计算各工作的
图片尺寸1030x516
网络计划中,自始至终全部由关键工作组成的线路或线路上总的工作持续
图片尺寸608x402
ia双代号网络图按工作计算法计算示例
图片尺寸1500x1125
双代号网络计划总时差自由时差计算,必须拿下的案例考题
图片尺寸781x238
双代号网络计划如下图其关键线路有条
图片尺寸655x274