双代号网络图虚线

ta双代号时标网络图计算示例.ppt
图片尺寸800x600
双代号网络图1526886995ppt
图片尺寸920x690
已知某工程双代号网络图如下,按照计划安排f工作的最早开始时间为().
图片尺寸1069x469
双代号网络图的绘制方法
图片尺寸1583x828
双代号网络图
图片尺寸770x446
双代号网络时标图中虚线是什么意思
图片尺寸571x366
双代号网络图绘制中的虚箭线判定
图片尺寸647x273
双代号网络图例题及答案 项目网络图案例
图片尺寸1028x297
某项目的双代号网络图如下所示双代号网络图的计算
图片尺寸855x364
双代号网络图绘制
图片尺寸920x690
双代号网络图的绘制,工期计算,关键线路,工期优化
图片尺寸600x229
如图所示双代号网络图中的( ).
图片尺寸281x246
3*(4—1)×(3—1)一4×3 l =77条虚线如上图9"3×4"施工组织网络图qda
图片尺寸797x246
双代号网络图 有会的吗 跪求 我画的对吗
图片尺寸1280x960
绘制双代号网络图,计算六大时间参数,找出关键路线,急急急,在线等
图片尺寸941x730
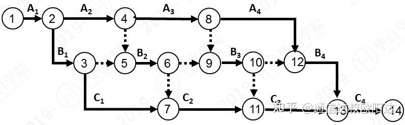
达叔:双代号网络图绘制中的虚箭线判定-存在,指向,数目
图片尺寸682x585
双代号网络计划总时差自由时差计算,必须拿下的案例考题
图片尺寸781x238
一建项目管理之双代号网络图_第2页
图片尺寸920x690
双代号网络图绘制例题详解
图片尺寸893x469
如何画这题的双代号网络图
图片尺寸4095x2303