双糖

任意两个单糖连接,你就会得到一种双糖.乳糖,麦芽糖,蔗糖都是双糖.
图片尺寸511x384
▼一个果糖与一个葡萄糖分子结合在一起产生的双糖,称为 "蔗糖
图片尺寸600x450
双糖
图片尺寸400x242
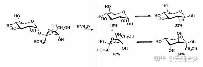
20.6 双糖
图片尺寸675x223
控制体重可以用肠胃不好也可以用
图片尺寸1080x1439
照片素材(图片): 中型双糖和白方糖
图片尺寸500x750
什么食物含有双糖
图片尺寸630x420
日本日新制糖中双糖1kg 包邮
图片尺寸800x800
两种豆豆精华能够分别有效阻挡淀粉和双糖转换成能被人体吸收的单糖
图片尺寸1462x658
琦诺 双糖组合224g(红糖棒棒糖112g*1 黑糖棒棒糖112g*1)
图片尺寸1100x1390
普洱茶中的多糖单糖双糖还在傻傻分不清
图片尺寸531x321
糖类化合物可以分为单糖,双糖(二糖),多糖.蔗糖就是双糖中的一种.
图片尺寸808x424
双糖
图片尺寸640x405
名词定义:碳水化合物,多糖,双糖,单糖与纤维
图片尺寸1023x682
克氏双糖铁培养基
图片尺寸1080x2727
克氏双糖铁琼脂 用于细菌复合生化试验 葡萄糖 乳糖 欧克生物
图片尺寸749x348
广东环凯 克氏双糖铁琼脂培养基(kia) 250g 022240
图片尺寸750x1462
克氏双糖铁琼脂 生物试剂br250g 北京奥博星官方正品现货
图片尺寸1920x1920
乳糖是一种双糖,其分子是由葡萄糖和半乳糖组成的
图片尺寸391x320
化合物是一个大家族,一般依据碳链的长度分类,主要可分为单糖, 双糖
图片尺寸558x598