反应速度

速度与激情 | 反应速度 动作速度训练篇
图片尺寸717x386
图4-7 底物浓度对反应初速度的影响
图片尺寸795x590
图文世锦赛刘翔顺利晋级半决赛起跑反应速度很快
图片尺寸550x295
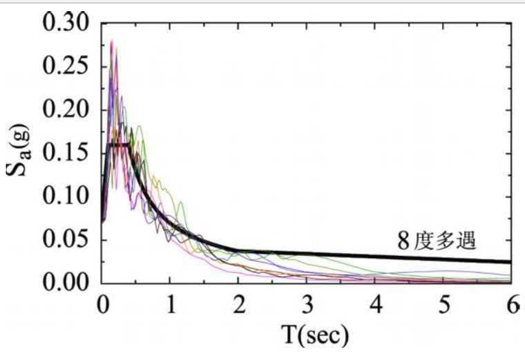
图2 地震波加速度反应谱与规范加速度反应谱的比较
图片尺寸760x522
17如图表示在不同条件下酶促反应的速度变化曲线下列说法正确的是
图片尺寸384x198
六角球反应球篮球儿童羽毛乒乓球反应力训练器速度灵敏弹力敏捷球
图片尺寸790x1204
地震加速度反应谱
图片尺寸767x346
敏捷反应速度快慢高中物理实验教具利用自由落体测量反应时间快慢
图片尺寸1080x1080
反应速度公式及作图
图片尺寸376x164
图6-34 初始底物浓度对反应速度的影响
图片尺寸1141x747
6 2012-11-17 压强对反应速度的改变 2013-02-15 为什么压强的改变
图片尺寸771x263
玻尔兹曼分布图与反应速度的关系及简答题
图片尺寸1080x1442
比较:反应速度最快的动物
图片尺寸1728x1080![[研究生入学考试]化学反应速度.ppt](https://imgs.wantubizhi.com/img/ADDA3C5D760C6828B77B505A29D43E83CA92DEE1DD5CF1BF31AB64F4A41CE93AA28CEDDD4B2840DEFF258E4B0155A1858FE1EEC4C6798946ED310CDDFDEE0D38CC72F2A6DBB4860D0B5C256DE3DD1FBCE5C0DCDEB487125AA9C86DAAA40FB811)
[研究生入学考试]化学反应速度.ppt
图片尺寸1152x864
人教版七年级体育与健康第二章反应速度的练习方法教案
图片尺寸860x1216
速度与激情 | 反应速度 动作速度训练篇
图片尺寸600x416
随着底物浓度的增高 反应速度不再成正比例加速; 反应为混合级反应.
图片尺寸1080x810
图4-8 酶浓度对酶促反应速度的影响
图片尺寸1426x1098
人的反应速度有多快?
图片尺寸480x293
化学反应速度反应级数和活化能的测定
图片尺寸800x1132