发散函数

发散怎么得出答案的,望详细解答.
图片尺寸1812x830
显然,该数列是发散数列,于是我们得到该极限 根据 定理,我们有 于是
图片尺寸720x890
3,发散,典型的p级数,及对于级数n的p次分之一,当p大于1时,级数收敛,p
图片尺寸640x343
常用函数-图像.docx
图片尺寸1594x2255
级数是发散还是收敛,要过程.
图片尺寸300x410
单变量微积分笔记29反常积分和瑕积分
图片尺寸416x351
当x→0 时:当x→ ∞时:这里用红色的被积函数表示发散,绿色表示收敛
图片尺寸412x344
云之南
图片尺寸1200x1630
你可以很快发现这个级数都是发散的,那么对于黎曼ζ函数上图就是全部
图片尺寸870x823
发散.
图片尺寸571x387
【高数】无界函数的为什么有收敛性和发散性?
图片尺寸544x285
hash函数
图片尺寸2560x1600
判断无穷级数收敛发散,如图,要过程
图片尺寸546x253
2开阔思维小学生学思维导图,可以进一步打开思维~思维导图具有发散性
图片尺寸792x1120
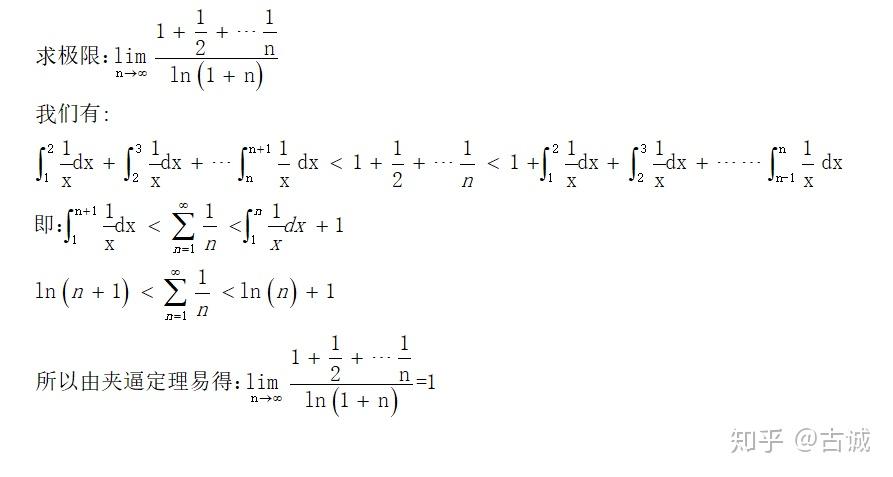
如何证明1n级数发散及其运用
图片尺寸893x477
发散点的全体称为其发散域
图片尺寸1080x810
5函数y=asin(ωx φ)的图象(1)课件(新人教a版必修4)ppt
图片尺寸1080x810
高等数学 收敛函数和发散函数的区别?
图片尺寸468x360
(2) 若两级数中一个收敛一个发散 , 则 ( u n vn ) n 1 必
图片尺寸1080x810
用极点概括响应函数特征
图片尺寸767x434