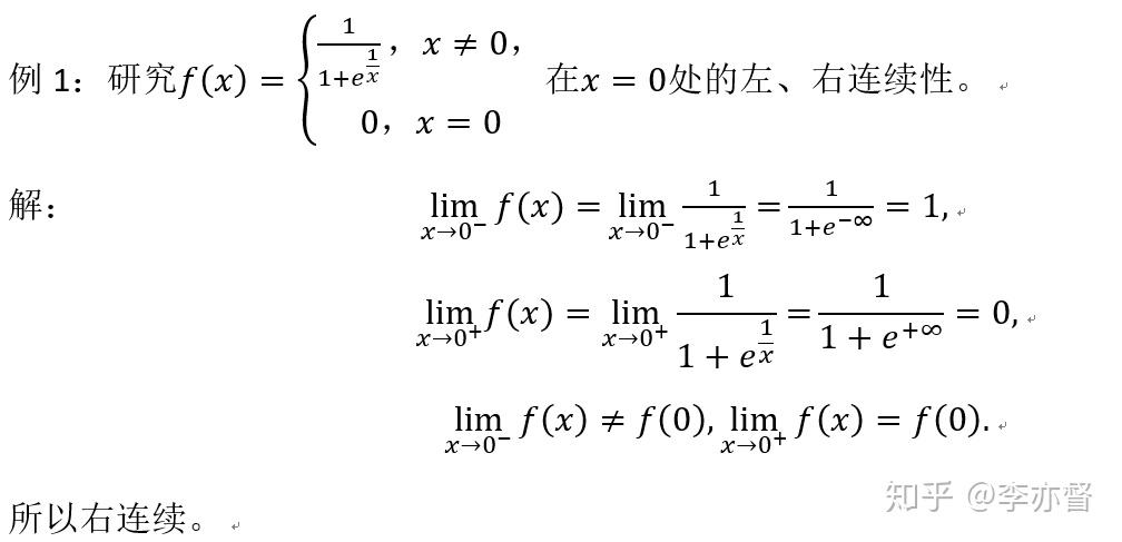
右极限

右极限
图片尺寸608x354
右极限
图片尺寸638x703
右极限
图片尺寸1280x350
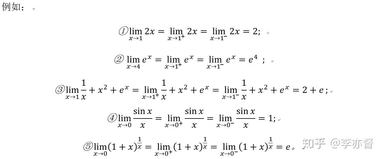
t17真题回顾】【注】极限存在的充要条件为左,右极限存在且相等(2)左
图片尺寸720x751
第二类间断点是左,右极限至少有一个不存在.
图片尺寸640x488
当x=0时,左极限与右极限怎样求
图片尺寸2281x2381
不分段的函数如何求它的左极限和右极限 第四题
图片尺寸460x347
左极限和右极限怎么求
图片尺寸600x400
写出下列函数在点x=1左极限右极限其中哪些函数在点x=1处有极限
图片尺寸544x579
函数左右极限简介
图片尺寸1287x534
求左右极限,怎么得出
图片尺寸261x144
它是怎么求出1的左极限=0,右极限= 无穷大的?不明白过程.
图片尺寸1600x900
考研高等数学d1_3函数的极限ppt
图片尺寸1080x810
问: 画出下列图象,求f(x)在恰定象处的左极限,右极限,极限.
图片尺寸647x738
函数左右极限简介
图片尺寸1008x487
函数左右极限简介
图片尺寸1313x719
右极限 lim
图片尺寸1080x810
也要考虑x从x_0的右侧无限接近x_0(x
ightarrow x_{0}^{ })左极限
图片尺寸1076x671
怎样分别求函数的左极限和右极限
图片尺寸2281x2381
只有左极限与右极限相等时, 的极限才存在,且等于左(右)极 ..
图片尺寸563x365