吓得我都泰勒展开了

漏发一张#曼尼汉堡店 #泰勒 #同 - 抖音
图片尺寸1440x1596
拉格朗日余项型,大家记住了妈#23考研 #考研数学 #泰勒公式 #泰勒
图片尺寸1080x1439
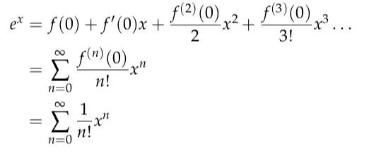
高等数学(九)泰勒展开式
图片尺寸1440x887
吓得我网都断了
图片尺寸270x270
吓得我都方了
图片尺寸400x400
求大神把泰勒公式中常用函数的展开式写给我谢谢了,要详细的
图片尺寸1091x661
鲁迅:吓得我都横眉冷对千夫指了
图片尺寸400x546
常用函数泰勒展开公式
图片尺寸367x421
吓得我都散架了
图片尺寸833x833
这就是我第一眼以为泰勒是女的的原因04泰勒的超绝肌肉线条#曼 - 抖
图片尺寸1080x2280
html泰勒展开转载泰勒展开式
图片尺寸383x244
吓得我胸都掉了
图片尺寸400x400
求大神把泰勒公式中常用函数的展开式写给我谢谢了,要详细的
图片尺寸1082x625
泰勒展开
图片尺寸1084x690
博士》第二季开播,罗斯-泰勒与新重生的第十任博士开始了tardis冒险
图片尺寸400x333
常见函数的泰勒展开式
图片尺寸920x1302
吓得我瓜子都掉了!
图片尺寸720x675
泰勒公式与函数展开的操作方法
图片尺寸693x536
吓得我脸都 p 歪了 - 拖你去啪啪啪_斗图表情
图片尺寸720x720
最美公式(二):泰勒展开(taylor series)
图片尺寸522x224