吩嗪

吩嗪cas号92820各种规格及其价格已解决
图片尺寸605x375
吩嗪
图片尺寸220x196
吩嗪
图片尺寸3264x2448
吩嗪湖北应城厂家直销cas:135-67-1
图片尺寸500x375
510二2萘基510二氢吩嗪
图片尺寸216x448
氯苯吩嗪
图片尺寸300x292
5,10-二氢-5,10-二甲基吩嗪|5,10-dimethyl-5,10-dihydrophenazine
图片尺寸509x453
5,10-二氢-5,10-二甲基吩嗪
图片尺寸268x157
吩嗪硫酸甲酯
图片尺寸800x800
氯苯吩嗪,2030-63-9,结构式
图片尺寸614x448
精品药物分析吩嗪类抗精神病药物的分析ppt
图片尺寸920x690
酚藏花红(分析化学 名词)
图片尺寸317x216
2-氨基-3-羟基吩嗪
图片尺寸180x120
氯苯吩嗪
图片尺寸220x127
商品名称:1-甲氧基-5-甲基吩嗪硫酸甲酯盐
图片尺寸360x260
济源健那绿b
图片尺寸400x370
白内停酸
图片尺寸331x206
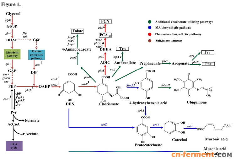
产量的策略是:(1)阻断粘康酸转化并用吩嗪生物合成簇增强粘康酸外排泵
图片尺寸752x515
好东西 蝶啶 7h-嘌呤 吖啶 吩嗪 吩噻嗪
图片尺寸619x930
吩嗪硫酸甲酯phenazinemethosulfate
图片尺寸348x227