周期运动

股票的周期运动.jpg
图片尺寸639x459
【动画原理】二维动画步行运动周期原理教程(中英双字)
图片尺寸1920x1080
月球和地球:月球的自转周期和绕地球运动的公转周期都是 27.3 天.
图片尺寸400x407
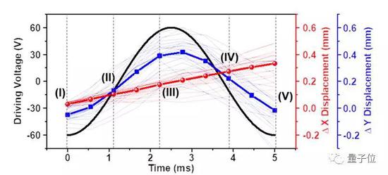
这张图是小强机器人经过了20个周期的运动后平均出来的几个核心的数据
图片尺寸550x249
「 儿童体能 」父母必须带孩子练习的8种运动技能
图片尺寸1456x1125
周期运动1匀速圆周运动讲稿ppt正式
图片尺寸800x600
王卫星 || 身体运动能力的周期性规律_训练
图片尺寸1080x479
海外直订periodic motions 周期运动
图片尺寸800x800
运动健身领域能不能出自己的李佳琦
图片尺寸809x316
物理周期运动ppt下载
图片尺寸400x230
单个振动周期运动示意图
图片尺寸546x324
上海高中物理周期运动ppt
图片尺寸800x600
无论是普通人还是运动员,都逃不掉的是这么一个"理论",生命周期消费
图片尺寸681x482
第4讲周期运动考情知识典例真题2021届上海物理高考专题复习讲解课件
图片尺寸860x484
周期运动训练理论与方法15休息与恢复
图片尺寸783x408
三维软件modo运动周期相关视频教程附工程文件
图片尺寸900x506
若已知嫦娥三号环月段圆轨道的半径,运动周期和引
图片尺寸604x249
匀速圆周运动是周期不变的运动!
图片尺寸1080x810
第四章周期运动a
图片尺寸920x690![4.a匀速圆周运动[高一物理] 第四章 周期运动](https://imgs.wantubizhi.com/img/A1A61BAA66193547F3A6DD7D8EE527E98E5CA39291E8159E8A9977DF264E1BC9DC0165DEFE363D846AFFF2738C2EB8D29EC9AB06292F1F064F8DF73C795BDDB1541D71425FE17BF0DF958B539EABB95A8E4F221B6AEF562032390EEB7D79FE22)
4.a匀速圆周运动[高一物理] 第四章 周期运动
图片尺寸1080x810