因果图法设计测试用例

软件测试方法和技术ppt
图片尺寸1080x810
关于软件测试中的因果图法与一个自动贩卖机实例的测试用例设计
图片尺寸3264x2448
因果图示例
图片尺寸932x600
7.因果图
图片尺寸912x609
因果分析图画法
图片尺寸1233x927
机软件进行黑盒测试_用因果图分析方法为售货机设计测试用例-csdn博客
图片尺寸1378x1042
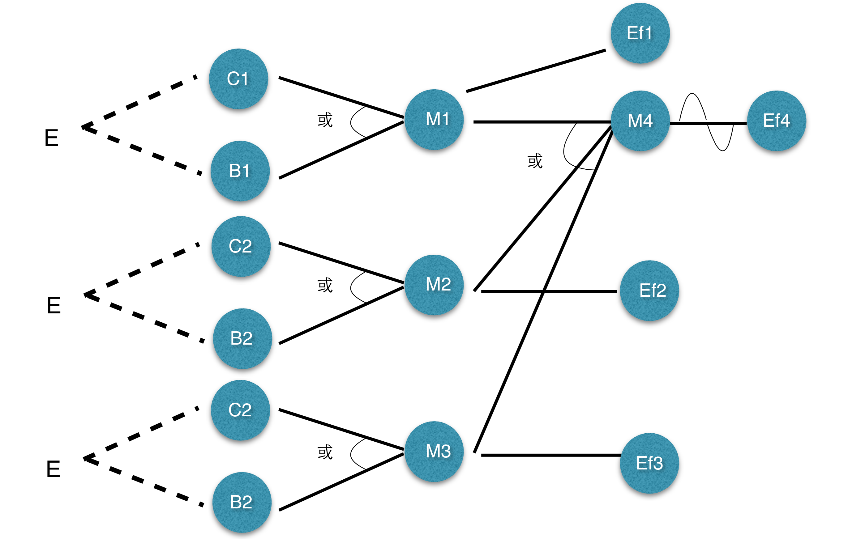
因果图法
图片尺寸1770x1114
因果分析图
图片尺寸592x399
java 鱼刺图_软件测试技术(三)——使用因果图法进行的ui测试
图片尺寸2742x1744
软件测试用例设计之因果图
图片尺寸1156x590
因果关系图样例
图片尺寸1808x1068
因果图示例
图片尺寸851x600
2016年度精品测试用例的设计自动售货机因果图分析doc31页
图片尺寸792x1120
《质量管理学》--因果图作业.docx 2页
图片尺寸860x1218
黑盒测试用例设计 - 因果图法
图片尺寸1324x626
设计方法-因果图(cause-and-effect diagram)
图片尺寸2436x1756
常见的测试用例设计方法7---因果图法
图片尺寸1005x506
软件测试1黑盒测试用例设计方法1等价类边界值判定表因果图
图片尺寸2159x1080
软件测试基础(五)用例设计方法之因果图法
图片尺寸1505x1003
二,根据因果图法设计测试用例
图片尺寸720x533