复合函数求导法则
 - 简单复合函数求导图片尺寸920x1302
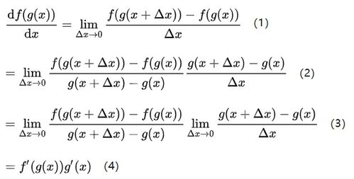
 - 2.2 复合函数的导数的链式法则http://zh.wikipedia.图片尺寸1258x752
 - 多元复合函数的求导法则图片尺寸959x1357
 - 高等数学第四节多元复合函数的求导法则图片尺寸920x690
 - 高数|6道题拿下复合函数求导!背牢公式.#高数 #高等数学  - 抖音图片尺寸1080x1440
 - 复合函数的求导法则---重点图片尺寸782x365
 - 高中数学第三章变化率与导数33计算导数复合函数的求导法则素材北师大图片尺寸800x1131
 - 多元复合函数求导法则共7页图片尺寸920x1302
 - 复合函数求导法则图片尺寸1080x810
 - 2第7课时 复合函数的求导法则教案 理 新人教a版选修2-2(通用)_第1页图片尺寸800x1132
 - 常用求导公式表图片尺寸893x590
 - 反函数和复合函数的求导法则图片尺寸920x1302
 - 复合函数求导公式复合函数综合应用图片尺寸920x1302
 - 2017高数核心考点求导法则之复合函数图片尺寸688x495
 - y   f   u   和u   g   x  的复合函数求导     u  y x   yu x图片尺寸1193x1716
 - 基本的求导法则公式-三角函数的导数-导数运算法则图片尺寸1080x810
 - 1 (复合函数求导法则 ) 设函数 u   g( x )在 x0可导, 而函数 y   f图片尺寸1080x810
 - 复合函数的求导法则复合函数的求导法则公式图片尺寸499x253
 - 复合函数的求导法则图片尺寸920x690
 - 复合函数的求导法则图片尺寸920x690