复阻抗

复阻抗的计算公式详解
图片尺寸799x450
复阻抗
图片尺寸1080x810
复阻抗的计算公式详解
图片尺寸603x352
复阻抗
图片尺寸220x143
东北师范大学 13-4 交流电路的复数解法ppt
图片尺寸1080x810
正弦稳态电路计算之二相量图法计算复阻抗
图片尺寸243x223
复阻抗法求解传递函数
图片尺寸1178x1234
复阻抗的计算公式
图片尺寸426x486
3.4 测量得到的复阻抗
图片尺寸797x498
复数阻抗ppt
图片尺寸1080x810![传递函数的基本概念 例2 [例2] 求下图的传递函数(复数阻抗法): uo =](https://imgs.wantubizhi.com/img/A1A61BAA66193547F3A6DD7D8EE527E9BC429A526B213631BADF8990CD6EEAD5E932E29983D33D3079F7D3AC3FA9F6877472923C2EA31F58495338C942789C0DC5835BE47C6812287E8FE154B0C6FAF9AB0B2ACA36AB85825847D96CAA2D0635)
传递函数的基本概念 例2 [例2] 求下图的传递函数(复数阻抗法): uo =
图片尺寸1080x810
ch9 正弦稳态电路的分析 大学电路 电路理论 电路课件ppt
图片尺寸1080x810
阻抗(导纳)的串联和并联
图片尺寸1536x2680
正弦稳态电路计算之二相量图法计算复阻抗
图片尺寸364x234
复阻抗的计算公式解决方案华强电子网
图片尺寸462x304
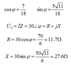
复阻抗的计算公式详解
图片尺寸466x355
复阻抗
图片尺寸220x116
正弦稳态电路计算之二相量图法计算复阻抗
图片尺寸341x215
教育 理学 电路基础分析课件chapter9正弦稳态电路分析ppt z— 复阻抗
图片尺寸1080x810
【电子电路课件】第九章 正弦稳态电路的分析
图片尺寸1080x810