失水山梨醇结构式

山梨醇结构式
图片尺寸365x365
失水山梨醇油酸酯 peg-20结构式图片|9050-57-1结构式图片
图片尺寸605x375
山梨醇结构式,在白色背景上绘制的甜味剂山梨醇的结构式
图片尺寸1023x435
115079 parteck si 200 (sorbitol) parteck si 200 (山梨醇
图片尺寸500x300
山梨醇结构式
图片尺寸258x142
山梨醇
图片尺寸115x149
失水山梨醇油酸酯 peg-20 结构式
图片尺寸565x267
天然产物化学2ppt
图片尺寸1080x810
山梨醇 d2-2结构式
图片尺寸600x600
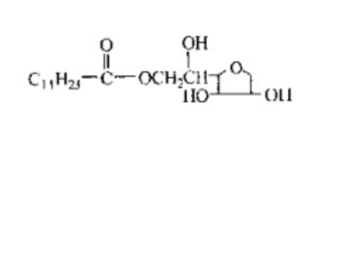
山梨醇单硬脂酸酯结构式
图片尺寸334x283
结构式.jpg
图片尺寸478x180
山梨醇
图片尺寸290x231
1,5-脱水山梨醇(1,5-ag)的化学结构
图片尺寸957x396
失水山梨醇三油酸酯 结构式
图片尺寸969x593
山梨醇和甘露醇均易溶于水.
图片尺寸311x234
d-山梨糖醇|d-sorbitol|50-70-4|acros|97%|rg|2.5kg
图片尺寸824x341
"sorbitol 山梨醇" 的搜索结果
图片尺寸457x291
失水山梨醇单月桂酸酯
图片尺寸498x394
山梨酸结构式
图片尺寸250x250
亦称"山梨糖醇".分子式c6h14o6.分子量182.17.
图片尺寸627x987