子集

子集
图片尺寸593x490
高中数学教案:高一数学《子集,全集,补集 》教案模板(1)
图片尺寸579x290
教师招聘面试:高中数学说课稿《子集,全集,补集》
图片尺寸579x290
{0.43,0.57,-0.43,0.72,-0.57,2.01}的子集
图片尺寸500x352
高职高考数学|第一章集合知识点.第一章《集合》数集,子集,真 - 抖音
图片尺寸1232x1652
java 求集合真子集_高中数学知识点基础整理(1)
图片尺寸650x447
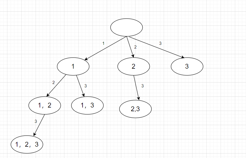
1,对于数组s中每个元素有两种选择,要么选入子集
图片尺寸864x557
真子集和子集怎么区分求大神
图片尺寸1344x760
经史子集要略 罗止园 著 著 社科 文轩网
图片尺寸800x800
1.3 集合的基本运算(2)ppt
图片尺寸1080x810
语言研究的数学方法集合2
图片尺寸428x172
韩非子集释 下
图片尺寸1200x2126
2子集,全集,补集(一)ppt
图片尺寸1080x810
经史子集(子庸书房)
图片尺寸497x704
回溯算法子集
图片尺寸654x647
算法| 求一个数组的所有子集_瘦弱的皮卡丘的博客
图片尺寸647x319
> 拍品图片详情
图片尺寸850x1374
集合之间的关系真子集与集合相等ppt课件
图片尺寸920x518
pdf 10页
图片尺寸792x1078
子集组合全排列与回溯
图片尺寸1280x720