孔隙度

孔隙度 === v / vp 100%
图片尺寸1080x810
冲孔间隙表
图片尺寸732x591
孔隙度计算
图片尺寸314x347
冷冲模线割双边间隙一览表 纸板及其他 材料 非金属 厚度 zmin 0.2 0.
图片尺寸747x751
因此经摄氏度1200度,高温碳化后,炭的孔隙度,是全部炭里数量最多的
图片尺寸639x439
常用孔的极限偏差值(s)
图片尺寸705x991
孔的基本偏差数值表
图片尺寸800x1132
砂岩储层压实过程中孔隙度演化的定量分析
图片尺寸626x637
【论文】付新月等:基于三维空间响应分布函数的脉冲中子孔隙度测井
图片尺寸1004x1028
2岩石物性二,岩石的孔隙度φ 岩石的孔隙度φ vs vb = vp 1)定义
图片尺寸1215x810
表 各样地土壤容重和孔隙度特征 table bulkdensityandporosityof
图片尺寸2640x1152
岩石孔隙度
图片尺寸268x176
关于松散岩石孔隙度问题
图片尺寸551x374
a,b型中心孔的尺寸l却决于中心钻的长度,不应小于t值. 2.
图片尺寸636x928
可以观测多孔性材料内部的孔形,且结果也可以计算多孔性材料的孔隙度
图片尺寸1160x726
公差 公差保险
图片尺寸2424x1697
孔的基本偏差数值表(完整版)
图片尺寸718x1036
2,孔隙度 (1) 总孔隙度 岩石中全部孔隙体积占岩石总体 积(vt)的
图片尺寸1080x810
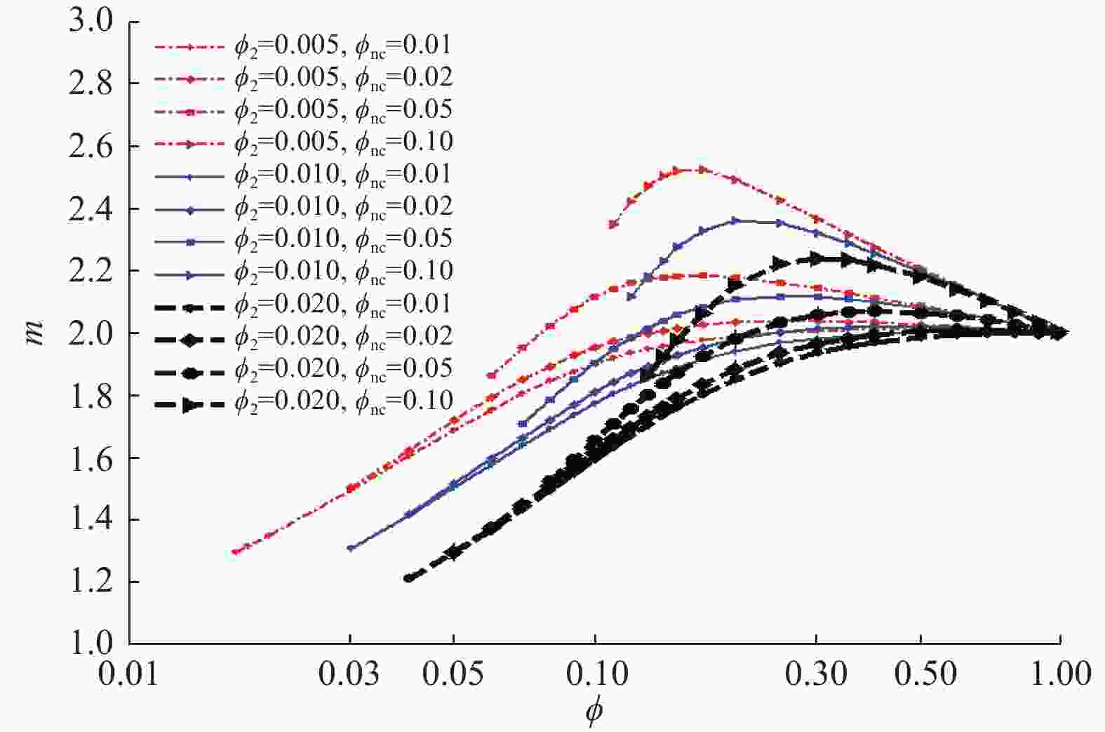
图 1m b=2.0时的三孔隙度模型 – m交会图
图片尺寸1575x1043
图 3 土壤总孔隙度与土壤水分的相关关系
图片尺寸1575x921