实数计算题

实数化简运算习题经典实用
图片尺寸920x1302
八年级上实数计算题
图片尺寸920x1302
实数计算题道.docx 3页
图片尺寸792x1120
十实数计算题专题训练(含答案).doc
图片尺寸792x1120
七下数学实数精选50道计算题.#家长收藏孩子受益 #七年级 - 抖音
图片尺寸904x1248
实数计算题自己整理给力docx10页
图片尺寸792x1120
实数计算题自己整理给力docx10页
图片尺寸792x1120
实数计算题道
图片尺寸920x1302
初中七年级数学下册实数计算题附答案详细解答专项练习复习计算本
图片尺寸956x956
八年级上实数计算.pdf 3页
图片尺寸800x1132
实数计算题86道
图片尺寸920x1304
7实数与二次根式的混合运算-计算题86道_3.doc
图片尺寸792x1120
七年级下册数学实数计算题练习
图片尺寸920x1302
近6年的实数计算题
图片尺寸527x1395
实数计算题86道.pdf 6页
图片尺寸1071x1516
实数计算题专题训练含答案
图片尺寸920x1302
北师大版八年级数学上册第二章实数计算题
图片尺寸920x1302
人教版七年级数学复习③:实数的运算
图片尺寸640x771
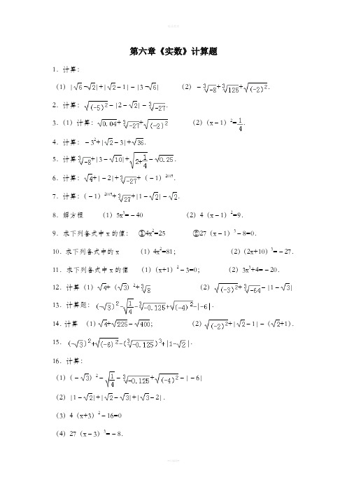
第六章《实数》计算题 1.计算: (1)|| |-1|-|3|(2)- . 2.
图片尺寸496x702
实数计算题专题训练含答案pdf4页
图片尺寸1384x1958