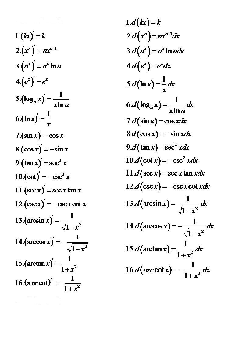
导数公式表

常见求导公式
图片尺寸800x1132
高中导数公式
图片尺寸920x1302
导数微分积分基本公式对照表pdf
图片尺寸800x1133
基本函数的导数表
图片尺寸920x1302
常用求导公式表共2页
图片尺寸920x1302
还是诱导公式或者和差化积.或者是.二者的导数互相的推导? 追问
图片尺寸969x1049
基本导数公式
图片尺寸920x1302
导数公式表ppt
图片尺寸1080x810
常用求导公式表
图片尺寸893x590
2《基本初等函数的导数公式及导数的运算法则》教案13-新人教a版选修2
图片尺寸542x753
高中导数积分公式表
图片尺寸920x1302
高等数学求导公式
图片尺寸920x1302
高等数学求导公式
图片尺寸920x1302
广义导数的支集
图片尺寸517x820
基本导数公式
图片尺寸794x1123
基本初等函数的导数公式 原函
图片尺寸1080x810
高等数学导数与微分高数第二章
图片尺寸704x472
高中导数积分公式表doc1页
图片尺寸792x1120
导数公式( 导数公式表 )
图片尺寸645x527
arccosx的导数计算公式与计算方法
图片尺寸464x653