巴尔末系

文档 所有分类 自然科学 物理 玻尔氢原子理论ppt 6 5 4 3 巴耳末系
图片尺寸1080x810
巴耳末系是氢原子光谱中的可见光部分对吗
图片尺寸600x624
4 氢原子的玻尔理论ppt 内容很好,是实在 h h h h 1,巴耳末系
图片尺寸1080x810
巴尔末系与巴尔末公式
图片尺寸697x574
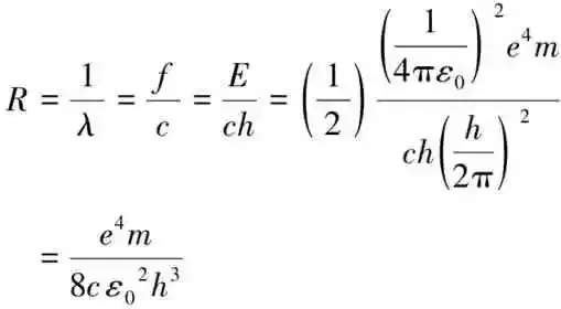
巴耳末系公式
图片尺寸640x560
随风去 楼上答的很好,说的简单点,巴耳末系就是辐射能量对应可见光
图片尺寸450x272
1914年 赖曼发现 年 赖曼系: 赖曼系: 1885年 巴尔末发现 年 巴尔末系
图片尺寸1080x810![氢原子的巴尔末谱线(来源:[b])证据来源于对原子谱线的观察.](https://imgs.wantubizhi.com/img/735A5D1F980B52A636CC46F12F2D1A737223382B9A81A5534D42149FA44FFF5FE1EF0F99FBFA387727988CFB3AA5BB4B53A84D8CF27BF5F8CEE21563403D844E1B2DBB8684BAA85AD25EBC41A0C03198302EB4A5BCD223CB6D8CA07995564A18)
氢原子的巴尔末谱线(来源:[b])证据来源于对原子谱线的观察.
图片尺寸553x454
莱曼系 第十三章 量子物理基础 1 1 1 1 1 1 可见光 巴尔末系
图片尺寸1080x810
巴尔末系与巴尔末公式
图片尺寸636x356
什么叫巴尔末公式,干什么的
图片尺寸794x369
大学物理 15-4氢原子的波尔理论ppt
图片尺寸1080x810
13-04_氢原子光谱_玻尔的氢原子理论ppt
图片尺寸1080x810
美国物理学家密立根曾经是爱因斯坦光电效应理论的质疑
图片尺寸735x201
氢原子光谱
图片尺寸1080x810
巴尔末系与巴尔末公式
图片尺寸509x280
大学物理量子物理二ppt
图片尺寸1080x810
德系 布喇开系 k =4 k =5 里德伯常量 实验规律 帕邢系 k =3 巴耳末系
图片尺寸1080x810
珍珠手作皱巴珍珠耳钉耳夹78光泽绝绝子
图片尺寸1080x1080
巴耳末系 氢原子光谱中的青色谱线对应n值是多少
图片尺寸1076x236