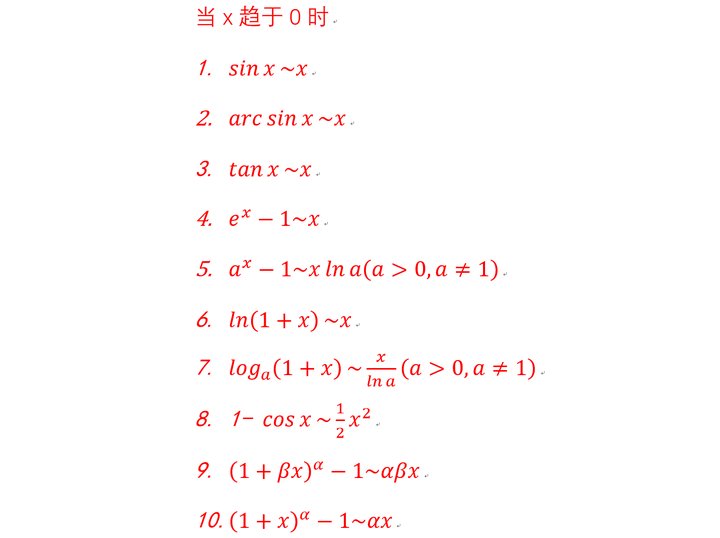
常用等价无穷小公式

【资料8】等价无穷小替换公式 整理了等价无穷小替换公式,在求极限
图片尺寸1627x1280
等价无穷小公式大全(建议收藏) 11566等价无穷小 21566x趋于0
图片尺寸976x1280
常用等价无穷小等价替换
图片尺寸920x1302
等价无穷小替换公式 自用
图片尺寸1427x1280
(完整版)几个重要的等价无穷小公式.docx 1页
图片尺寸860x1218
常用的等价无穷小及泰勒公式
图片尺寸920x1302
等价无穷小量表pdf版
图片尺寸800x1132
等价无穷小公式
图片尺寸920x1302
几个重要的等价无穷小公式
图片尺寸920x1303
有哪些常用的等价无穷小?
图片尺寸720x538
等价无穷小代换公式
图片尺寸1080x1394
几个重要的等价无穷小公式
图片尺寸920x1302
等价无穷小转换公式
图片尺寸920x1302
2020年几个重要的等价无穷小公式
图片尺寸920x1301
常用的等价无穷小代换_等价无穷小替换公式-csdn博客
图片尺寸717x809
完整版几个重要的等价无穷小公式
图片尺寸920x1302
常用等价无穷小 计算函数极限时,能用等价一定要先用等价 0202
图片尺寸960x1280
专转本|等价无穷小最全公式来啦
图片尺寸960x1280
有什么等价无穷小替换公式吗?
图片尺寸428x566
等价无穷小量 - 知乎
图片尺寸347x468