并集图示

并集
图片尺寸268x199
并集
图片尺寸927x680
交集与并集的示意图
图片尺寸383x445
并集
图片尺寸300x294
2021下教师资格证面试试讲高中数学并集
图片尺寸442x266
并集
图片尺寸410x290
并集的定义 给定两个集合 a ,b ,由属于 a 或属 于 b 的 所有元素构成
图片尺寸1080x810
并集的图示是怎样的?
图片尺寸512x384
set 实现并集(union),交集(intersect)和差集(difference)
图片尺寸1080x810
并集的图示是怎样的?
图片尺寸512x384
取并集示意图
图片尺寸728x337
并集是什么意思?画数轴举例子好咩?
图片尺寸502x526
交集,并集(1)ppt
图片尺寸1080x810
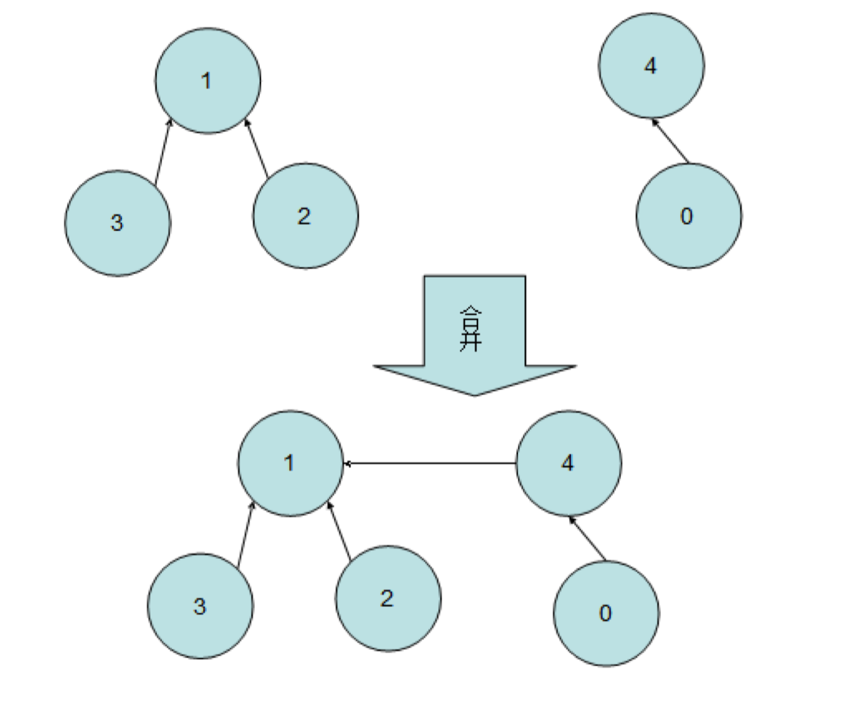
并查集
图片尺寸1180x986
2.1.3 并集
图片尺寸550x681
在python中集合并集
图片尺寸450x264
3.|:并集
图片尺寸2290x934
并查集
图片尺寸749x631
shader编程-通过交集,并集,差集实现形状的合并(webgl-shader开发基础
图片尺寸315x197
建议你先理解一下并集和交集,实在不行就先理解这个图
图片尺寸491x371