应变曲线

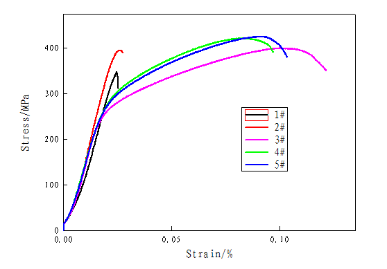
图 1 600.00 m深处冻土模拟岩样的应力–应变曲线
图片尺寸1575x896
应力应变曲线
图片尺寸640x599
岩石全应力应变曲线
图片尺寸1567x1586
图 6 混凝土拉伸和压缩应力-应变曲线
图片尺寸3780x1335
混凝土与砌体结构课件ppt 学建筑要看饿 一,混凝土的应力——应变曲线
图片尺寸1080x810
工程应力应变曲线中可以用于表示当材料发生一定应变时所收到的应力
图片尺寸1536x2048
图2-2 低碳钢的应力-应变曲线
图片尺寸613x475
图 循环荷载下的应力-应变曲线
图片尺寸1575x982
干燥状态岩样应力-应变-ae能率曲线
图片尺寸1535x1124
两张图帮助理解拉伸压缩应力应变曲线的含义
图片尺寸1080x735
图 钢箍拉伸应力-应变曲线
图片尺寸1575x1167
铝合金拉伸应力应变曲线分析
图片尺寸3408x2382
图 3 预拉后扭转时的应力–切应变曲线
图片尺寸1575x906
材料塑性材料名义工程应力应变曲线图
图片尺寸720x370
钢材应力-应变曲线
图片尺寸1654x1228
a—玻璃态,b—过渡态,c—高弹态 d—过渡态,e—黏流态 应力应变曲线
图片尺寸1080x810
图 不同应变率下材料应力应变曲线
图片尺寸1923x1429
图 2 预扭后拉伸时的应力–拉应变曲线
图片尺寸1575x925
应力应变全曲线 fig. stress-strain curves
图片尺寸700x680
压缩应力应变曲线
图片尺寸558x389