弗洛伊德算法过程图解

深度透析floyd算法
图片尺寸1540x1908
弗洛伊德floyd算法c实现
图片尺寸575x939
floyd最短路径算法来自微信公众号算法爱好者改编
图片尺寸456x709
弗洛伊德算法
图片尺寸1209x819
08图论最短路径问题03弗洛伊德算法讲解
图片尺寸5775x4022
数据结构floyd算法寻找最短路径
图片尺寸977x521
关于floyd算法的资讯
图片尺寸686x660
floyd算法详解通俗易懂
图片尺寸664x374
数据结构floyd弗洛伊德算法
图片尺寸1051x447
最短路径算法—floyd(弗洛伊德)算法分析与实现(python)
图片尺寸233x352
floyd算法ppt
图片尺寸1080x810
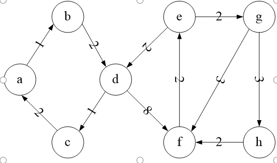
floyd算法
图片尺寸396x571
2 每对顶点之间的最短路径-floyed (弗洛伊德)算法 1 5 11 3 10 4 4 1
图片尺寸1080x810
【最短路径floyd算法详解推导过程】看完这篇,你还能不懂floyd算法?
图片尺寸393x335
python无向图最短路径之floyd算法
图片尺寸626x919
图解弗洛伊德算法(每一对顶点之间的最短路径问题) - 代码先锋网
图片尺寸500x448
多源最短路floyd算法
图片尺寸700x270
java使用弗洛伊德floyd算法获取最短路并打印对应路径
图片尺寸2461x1651
而是采用的是贪心算法策略,一步步求出它们之间顶点的最短路径,过程中
图片尺寸563x331
最短路 之 floyd 算法
图片尺寸753x691