微分几何

家用微分几何第一话流形
图片尺寸580x580
全微分的几何意义ppt
图片尺寸1080x810
微分几何(第五版)
图片尺寸400x600
北京大学数学丛书-微分几何讲义(第2版)-陈省身&陈维桓-北京大学出版
图片尺寸800x1178
微分几何
图片尺寸257x257
全微分几何意义
图片尺寸1080x810
微分几何曲线论
图片尺寸278x280
正版现货微分几何入门与广义相对论 第二版 上中下册 梁灿彬 周彬
图片尺寸800x800
《微分几何》陈维桓习题及答案.doc
图片尺寸794x1123
微分几何(第4版)简介,目录书摘
图片尺寸350x350
微积分
图片尺寸2112x1444
微分几何
图片尺寸1200x1600
如果只有15天来学微积分,你会怎么做?
图片尺寸1462x992
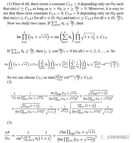
如何看待中科大26岁教授陈杲攻克数学复微分几何领域世界难题
图片尺寸547x586
全微分的几何意义
图片尺寸586x671
微分几何
图片尺寸510x288
531函数的微分有何几何意义
图片尺寸1013x854
微分几何
图片尺寸600x847
微分几何
图片尺寸892x596
微分几何曲面的第一基本形式
图片尺寸920x690