快肌纤维

肌纤维
图片尺寸300x266
什么是快肌纤维快肌纤维与增肌之间的关系
图片尺寸300x247
健身基础知识窥探组成肌肉的肌纤维
图片尺寸500x811
肌纤维的类型
图片尺寸1280x961
2,肌肉平衡,倒着跑可以强化正常跑步方式所未使用到的肌肉群,可以改善
图片尺寸800x477
每个人身体的肌肉都是由一束束肌纤维组成,并可分成两大类别: "慢
图片尺寸500x382
肌纤维类型与运动能力ppt
图片尺寸800x600
型,iic型,iiac型,iia型,iix型等,他们都可以被定义为慢肌或者快肌纤维
图片尺寸532x248
jeff nippard - 最危险的训练动作|常见的分化|戴面具训练|快慢肌纤维
图片尺寸1149x718
生长激素到底能够增加肌纤维数量吗
图片尺寸554x370
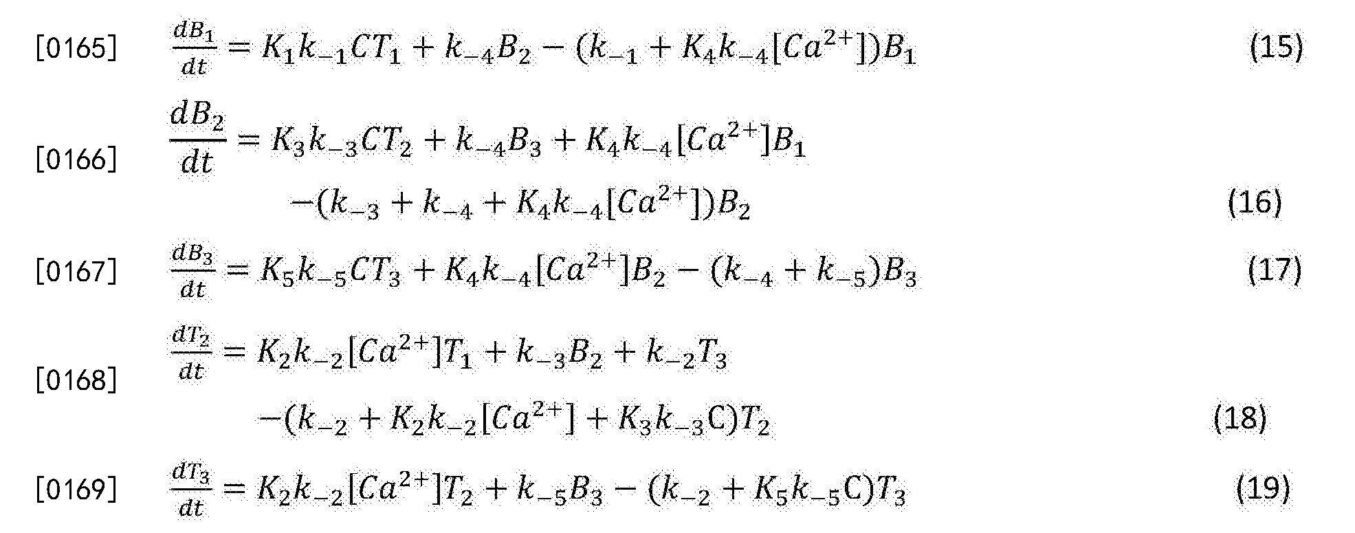
cn107330275a_一种对骨骼肌快肌纤维兴奋收缩过程的建模方法
图片尺寸1971x775
快肌纤维几乎不含有线粒体.
图片尺寸630x314
为你打造的高效全身力量训练方案,一周四练锻炼你的快缩肌纤维
图片尺寸640x434
6次重复比大多数人需要的组间休息时间更长那么你就有更多的快肌纤维
图片尺寸680x561
为你打造的高效全身力量训练方案,一周四练锻炼你的快缩肌纤维
图片尺寸375x292
在家如何练到快肌纤维
图片尺寸495x660
力量举应当向健美学习_肌纤维
图片尺寸437x395
快肌纤维和慢肌纤维与疲劳的关系金融走势图表, 红铅笔和窝的骰子多维
图片尺寸450x300
快肌纤维几乎不含有线粒体.
图片尺寸630x196
快慢肌纤维区分对健身锻炼效果的影响
图片尺寸600x478