抽象代数

《抽象代数学 第2版 有限galois理论 复旦大学出版社 图书籍 姚慕生》
图片尺寸800x1080
高一抽象函数专题课件ppt
图片尺寸1080x810
抽象代数2 徐明曜,赵春来 编著 9787301085288【正版图书】
图片尺寸600x868
抽象矢量现代数学公式元素时尚背景设计
图片尺寸800x576
抽象函数知识点
图片尺寸742x347
若泽?佩德罗(josé pedro costigliolo)高清作品《抽象(数字)》
图片尺寸1000x1624
抽象代数
图片尺寸652x870
抽象代数Ⅱ赵春来/徐明曜北京大学出版社北京大学数学教学系列丛书
图片尺寸800x800
正版图书 抽象代数1:代数学基础 数学系列丛书 代数学基础
图片尺寸1280x1998
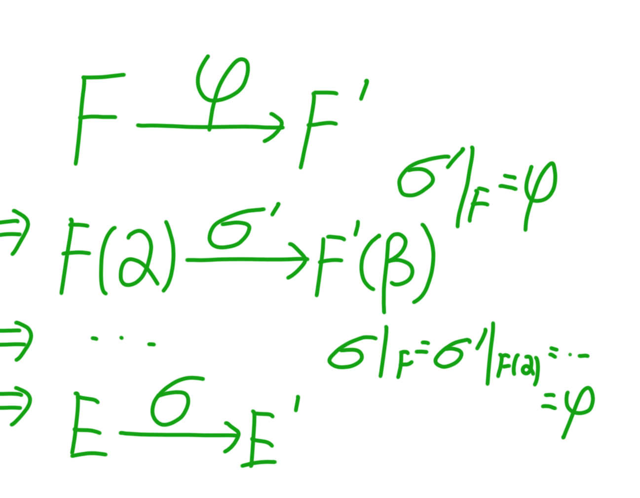
抽象代数笔记整理a二次扩域有限域分裂域
图片尺寸1297x1009
抽象代数 第3版
图片尺寸1000x1200
高数应该怎么复习才能拿高分
图片尺寸879x785
抽象代数【稀缺图书,放心购买】
图片尺寸550x789
抽象代数【正版好书,下单速发】
图片尺寸554x800
抽象函数终极讲义(学生)
图片尺寸594x487
抽象代数
图片尺寸1000x1000
大学数学科学丛书——4:抽象代数
图片尺寸800x1128
正版 简明抽象代数 顾沛 邓少强 9787040119169 本科抽象代数课程教材
图片尺寸800x800
抽象代数(二)
图片尺寸800x800
抽象代数/孙笑涛
图片尺寸1000x1000