指向法

初中地理 指向标定向方法 地图上的指向标箭头指向北方 b位于a的
图片尺寸1080x810
历史与社会 一般指向法: 北(north) 西(west) 东(east) 南(south)
图片尺寸1080x810
指向标箭头方向是正北,然后再 北 判别其他方向.
图片尺寸1080x810
手指指向下方的简笔画趣味简笔画手指兄弟的画法手指抢简笔画手指比划
图片尺寸259x270
过桥法 指向法
图片尺寸1080x810
地图,方向,一般定向法,指向标,经纬网(4分)
图片尺寸1024x640
利用地图辨别方向 一般定向法 无指向标又无经纬网的地图,按"上北下南
图片尺寸1080x810
回答问题: (1)辨别方向有三种方法:一是指向标定向法,二是 定向法,三
图片尺寸630x212
人教版七年级地理上册课件:1-3地图的阅读(共13张ppt) 指向标定位法
图片尺寸1080x810
·a 指向标定向法: 指向标定向法:按照指向标判别方向
图片尺寸1080x810
初一上历史期末总复习答案ppt 初一上历史期末总复习 ② 指向标定向法
图片尺寸1080x810
在没有指向标和经纬网的地图上.通常是a."上南下北.左西右东 b.
图片尺寸630x182
(1)辨别方向的三种方法:一是 辨别法,二是 辨别法,三是 辨别法.
图片尺寸630x359
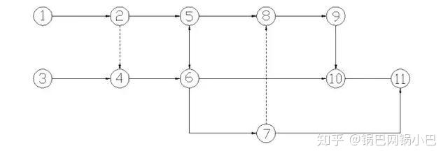
当箭线交叉不可避免时,应采用正确的表示方法(过桥法,指向法).
图片尺寸640x338
图时,箭线不宜交叉,当交叉不可避免时,可采用过桥法(暗桥法)或指向法
图片尺寸878x407
2,指向标定向法
图片尺寸1080x810
性学习小组所绘的"25°n附近某小区域示意图",为正确标注该图的指向标
图片尺寸439x124
指向姿势手势插画
图片尺寸1024x345
绘制网络图时,箭线不宜交叉.当交叉不可避免时,可用过桥法或指向法.5.
图片尺寸488x256
两个开始节点;(2)⑤⑥之间有双向箭头;(3)⑦⑧不宜直接交叉,可用指向
图片尺寸640x226