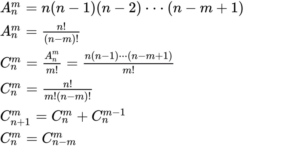
排列组合公式

排列与组合的运算公式
图片尺寸536x424
排列组合公式
图片尺寸1000x479
选修2-3 1.2排列组合综合问题4.7ppt
图片尺寸1080x810
排列组合公式全
图片尺寸920x1302
高二同步组合公式
图片尺寸685x515
排列与组合的定义和公式
图片尺寸1164x589
排列组合的数学公式
图片尺寸920x1302
几何图形面积和体积计算公式631
图片尺寸787x1098
排列组合公式
图片尺寸920x1302
排列组合公式排列组合计算公式
图片尺寸920x1303
排列组合公式全
图片尺寸920x1302
排列,组合与二项式定理公式
图片尺寸642x404
排列数,组合数公式及二项式定理的应用_第1页
图片尺寸920x1302
【程序员眼中的统计学(5)】排列组合:排序,排位,排
图片尺寸556x343
2.排列数,组合数的定义,公式,性质
图片尺寸650x331
高中数学公式排列组合与概率共1页
图片尺寸920x1302
排列组合的公式是排列的定义及其计算公式:从n个不同元素中,任取m(m
图片尺寸920x690
2.2第1课时组合与组合数公式 学案
图片尺寸893x581
排列组合和排列组合计算公式
图片尺寸920x1303
排列组合公式整理
图片尺寸920x1303